LOW-LEVEL vision tasks, a fundamental aspect of com-puter vision, have been extensively studied for improving low-quality data degraded by complex scenarios. These tasks encompass a wide range of practical applications, including but not limited to image super-resolution [1], deblurring [2], dehazing [3], inpainting [4], fusion [5], compressed sensing [6], low-light enhancement [7], and cloud removal in remote sensing [8]. See Fig. 1 for visual results.
Traditional approaches [14], [15] framed low-level vision problems as variational optimization challenges and utilized handcrafted algorithms to enforce proximity constraints related to specific image properties or degradation priors [16]– [19]. However, these methods often struggle to handle complex degradations due to their limited generalizability. With the rise of deep learning, convolutional neural networks (CNNs) [20] and transformers [21] have become widely adopted in low-level vision tasks for their powerful feature extraction capabilities. Additionally, the availability of large-scale datasets, such as DIV2K [22] for super-resolution and Rain800 [23] for deraining, has further enhanced their generalizability. While these methods have achieved promising results, particularly in distortion-based metrics like PSNR and SSIM, they still suffer from poor texture generation, limiting their applicability in complex real-world scenarios.
To address this limitation, deep generative models, particularly generative adversarial networks (GANs) [24], have been introduced into low-level vision tasks. Leveraging their strong generative abilities, these models aim to synthesize realistic texture details, extending their applicability to real-world scenarios. However, GAN-based methods face critical challenges: (1) the training process is prone to mode collapse and unstable optimization, requiring intricate hyperparameter tuning, and (2) the generated results often exhibit artifacts and counterfactual details, thereby undermining global coherence and limiting practical use.
Recently, diffusion models (DMs) [25]–[33] have emerged as a promising alternative in computer vision due to their impressive generative capabilities and training stability. DMs operate through a forward diffusion process, which introduces noise to the data, and a reverse diffusion process that learns to remove the noise, thus generating high-quality samples. Unlike GANs, DMs fall under the category of likelihood-based models and frame their training objective as a re-weighted variational lower bound. This offers benefits such as extensive distribution coverage, a stable training objective, and straightforward scalability.

Fig. 1: Examples of various low-level vision tasks with the low-quality image (left) and the enhanced high-quality image (right). Notice that all the enhanced results are generated with diffusion model-based algorithms, which are IDM [9] in (a), MSGD [10] in (b), Repaint [11] in (c), Reti-Diff [12] in (d), DOLCE [13] in (e), and DDPM-CR [8] in (f).

Fig. 2: Distributions of the four main low-level vision scenarios of DM-based models. In each Venn diagram, the overlapping regions between circles indicate that these models can address multiple application tasks or input modalities.
Building on these advantages, DMs have shown remarkable success across various domains, including data generation, image content comprehension, and low-level vision. In the realm of low-level vision, DMs [9], [10], [34], [35] primarily focus on restoring degraded data, thus enabling the reconstruction of high-quality images with detailed semantics and realistic textures, even in scenarios characterized by severe and complex degradations. As depicted in Fig. 1, numerous DM-based algorithms have delivered promising results across diverse low-level vision tasks. However, the diversity and complexity of techniques used in different tasks pose significant challenges for understanding, improving, and developing a general-purpose reconstruction model. Therefore, there is a critical need for a well-organized and comprehensive survey on DM-based low-level vision tasks. Existing DM-based surveys [36]– [39] generally focus on foundational theoretical models or generation-based techniques, while only a few reviews [40]– [42] address specific problems or a limited range of tasks in natural image scenarios within low-level vision.
To address this gap and overcome the aforementioned limitations, we propose the first comprehensive DM-based survey tailored to low-level vision tasks (see Figs. 2 and 3). This survey provides a detailed theoretical introduction, explores wide-ranging applications, offers thorough experimental analyses, and presents extensive future perspectives. Specifically, we begin with a comprehensive overview of diffusion models in Sec. 2, clarifying their connections to other deep generative models. We then summarize cuttingedge DM-based methods in natural low-level vision tasks in Sec. 3, categorizing them based on both their underlying frameworks and target tasks, covering six widely used tasks. In Sec. 4, we expand the scope to include medical imaging, remote sensing, and video scenarios, providing a broad overview of DM applications. Furthermore, Sec. 5 reviews widely used benchmarks and fundamental evaluation metrics in low-level vision tasks, and presents a comprehensive experimental evaluation of DM-based techniques across six representative tasks, both quantitatively and qualitatively. Finally, in Sec. 6, we identify key limitations of current DMbased methods and propose four major directions for future research, followed by a concluding summary in Sec. 7.
Note. We explored multiple databases, including DBLP, Google Scholar, and ArXiv, and focused on reputable sources such as TPAMI, IJCV, and CVPR. Preference was given to studies with available code and higher citations, reflecting broader academic recognition. We further applied a rigorous evaluation process to each paper, assessing its contribution and determining whether it was a seminal work. Hence, our survey can present a comprehensive

Fig. 3: The bar chart illustrates the continuous growth of DM-based methods in low-level vision tasks across four distinct scenarios. Representative works are categorized and marked on the line graph with colors corresponding to each scenario as indicated in the legend. The methods highlighted represent the seminal works of each period, e.g., StableSR [43] has garnered 1.9k GitHub stars, SR3 [44] boasts 1.2k citations, and SUPIR [45] is a pioneering DM-based multi-modal solution.

Fig. 4: The schematic diagram of diffusion models.
overview of the most influential research, thus advancing the field and highlighting promising future directions.
Diffusion models constitute a category of likelihood-based models. They are characterized by a shared principle of progressively perturbing data through a random noise process known as ”diffusion” and then removing the noise to produce samples (see Fig. 4). These models are typically classified into three subcategories: denoising diffusion probabilistic models (DDPMs), noise-conditional score networks (NCSNs), and stochastic differential equations (SDEs).
DDPMs and their variants have garnered significant attention owing to their straightforward algorithmic flow and the ease of integrating conditional controls. In contrast, NCSNs and SDEs are often subject to detailed mathematical analysis, given their potential for more efficient sampling and enhancements in task generalization.
2.1 Denoising Diffusion Probabilistic Models
A vanilla DDPM employs two Markov chains: a forward chain that perturbs data into random noise, and a reverse chain that converts the noise back to data. The initial dif-fusion process transforms data
from a complex distribution into a latent variable
in a fixed simple prior distribution (e.g., standard Gaussian) over T timesteps. At each diffusion step, Gaussian noise
is added to the data, following a hand-designed variance schedule
, and
, sharing the same dimension d as
. Hence, the forward process can be expressed as the posterior
based on the Markov chains:

given the hyperparameters
. The above equations can be reformulated as

While the latter process
reverses the former from
.
![]()
where learnable Gaussian transitions kernels with
are parameterized by deep neural networks under the training objects of minimizing the Kullback-Leibler (KL) divergence between
and
.
The optimization principle is as follows: To generate
in the reverse process, we sample from the noise vector
to obtain
using the learnable transition kernel. The key to this sampling process is training the reverse Markov chain to match the actual time reversal of the forward Markov chain. This requires adjusting
to align the joint distribution of the reverse Markov chain
closely with that of the forward process
. We use the KL divergence to characterize the gap between these two distributions.
can be trained by minimizing the KL divergence:

For better sample quality, a simplified form of loss function is proposed as the optimization target of the model [46]:

where
is a positive weighting function. U [[1, T]] is a uniform distribution over the set
is a deep network with parameters
that predicts the noise vector
.
2.2 Noise Conditioned Score Networks
NCSNs are designed to estimate the probabilistic distribution of the target data from the score function, which guides the sampling process progressively toward the center of the data distribution. The score function for a specific data density p(x) is defined as the gradient of the log-density function,
, which defines a vector field over the entire space that data x inhabits, pointing towards the directions along which the probability density function has the largest growth rate. The Langevin dynamics algorithm uses the directions provided by these gradients [26] to iteratively shift from a random prior sample
to samples
in regions with high density. By learning the score function of a real data distribution, it can generate samples from any point in the same space by iteratively following the score function until a peak is reached, which is defined as

where
controls the updating magnitude in the direction of the score, akin to the learning rate in stochastic gradient descent. The noise
represents random normal Gaussian noise at time step t, introducing random perturbations into the recursive process to address the issue of getting stuck in local minima. As the time step
and
, the distribution
approaches the original data distribution p(x). Hence, a generative model can utilize the above method to sample from p(x) after estimating the score with a network
. This network can be trained via score matching [47] to optimize the objective function presented as follows:

where
. In practice, because
is unknown, Eq. (9) can only be solved by those score matching-based methods rather than be directly solved, limiting the generalization to real data. According to the manifold hypothesis, conventional score function estimation methods, including denoising score matching [47] and sliced score matching [48], when combined with Langevin dynamics, can lead the resulting distribution to collapse to a low-dimensional manifold and thus bring inaccurate score estimation in the low-density region. To address this issue, annealed Langevin dynamics perturbs the data with Gaussian noise at different scales and further proposes an optimization objective under a monotonically decreasing noise strategy
:

where
. In inference, one can initiate with white noise and apply Eq. (8) for a predetermined T. Once
is acquired through optimizing the objective conditioned on T, as shown in Eq. (10), one can use the approximation
as a plug-in estimate to replace the score function used in the stochastic differential equations [49]. As iterative processes continue, the final sample is derived from the output obtained at t = 0.
2.3 Stochastic Differential Equations
As an extension of NCSNs, SDE and reverse-time SDE can correspondingly model the forward diffusion process and reverse diffusion process, where the forward process is

where
and
are diffusion and drift functions of the SDE.
denotes the standard n-dimensional Wiener process. Based on Eq. (11), the reverse process can be modeled with a reverse-time SDE [49], which is
![]()
where
denotes the infinitesimal negative time step, defining the standard Wiener process running backward in time. Solutions to the reverse-time SDE are diffusion processes that gradually convert noise to data. Note that the reverse SDE defines the generative process through the score function
, a shared concept in Sec. 2.2.
During both train and inference phases, SDE-based methods rely on practical numerical sampling techniques. Alongside numerical solutions discussed in Sec. 2.2, methodologies like Euler-Maruyama discretization and Ordinary Differential Equations (ODEs) [50] are effective, with the latter offering better sample efficiency advantages.
If the score function
is known, we can solve the reverse-time SDE easily. By generalizing the score-matching optimization objective in NCSNs to continuous time, we parameterize a time-dependent score model
to estimate the score function in reverse-time SDE, bringing the same optimization objective as Eq. (9).
Comparing the expansion result of the score function that uses Bayes’ rule with the noise result obtained from Eq. (4), it is easy to observe that the training objectives for DDPMs and NCSNs are equivalent, as shown in Eq. (13). Namely, the optimization learning objectives of both methods only differ by a fixed scaling factor:

Moreover, when generalizing to the case of infinite time steps or noise levels, both DDPMs and NCSNs can be considered as discrete numerical solutions of SDEs in practical applications. For example, the Variance Preserving (VP) [33] form of the SDE can be perceived as the continuous version of DDPM [28], and the corresponding SDE is

where
as T goes to infinity. NCSNs with annealed Langevin dynamics are equivalent to the discrete version of Variance Exploding (VE) SDE [33], which is

2.4 Comparisons With Other Deep Generative Models
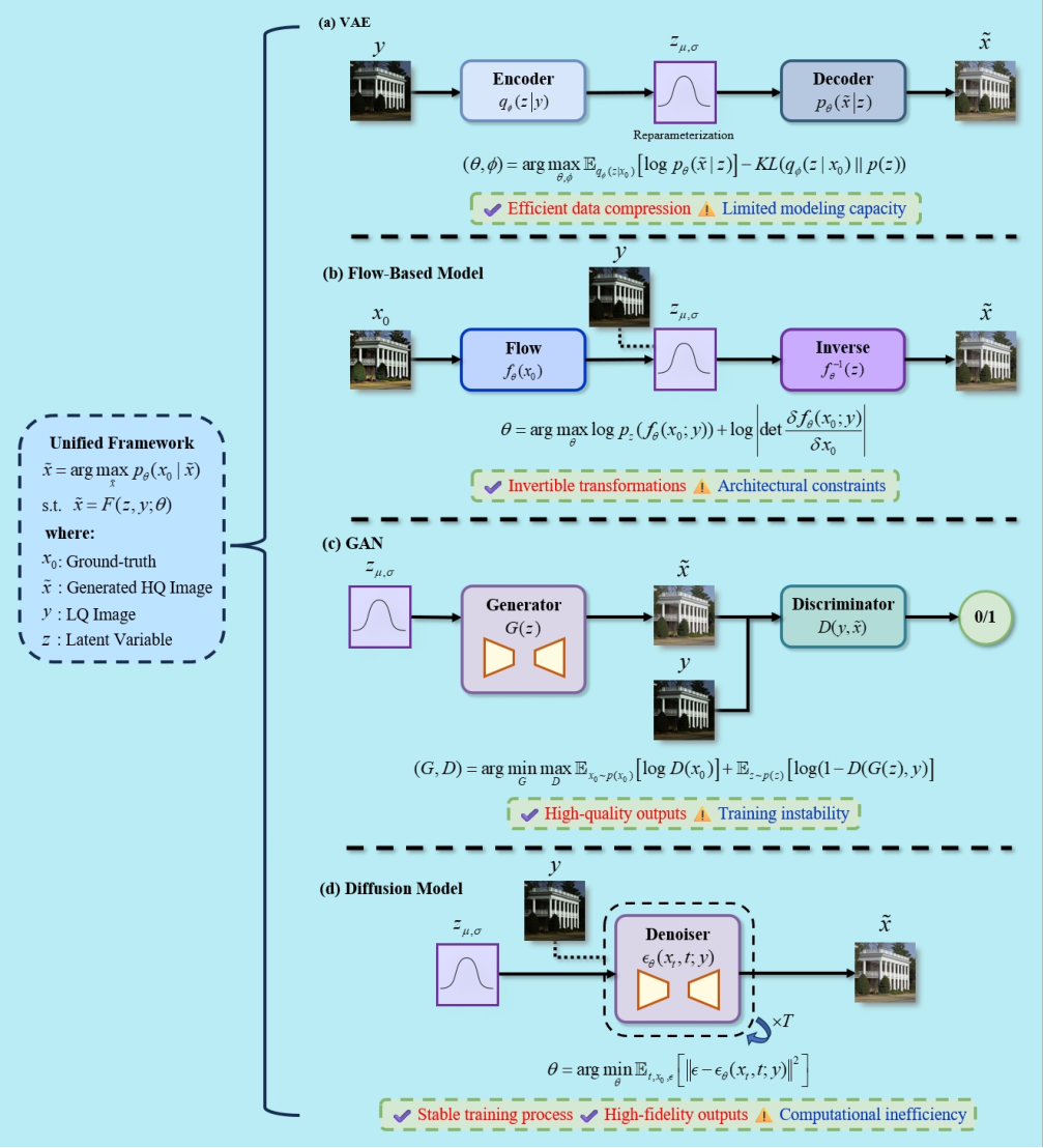
In this subsection, we examine the connections between DMs and other generative models, presenting a unified mathematical framework for these methods. Flowcharts in Fig. 5 illustrate their learning objectives, advantages, and limitations. As highlighted in Fig. 5, a key limitation of DMs is their sampling inefficiency. To address this, approaches

Fig. 5: The flowcharts of generative models, where the HQ image
is generated by the corresponding methods, i.e., LACR-VAE [51], LLFlow [52], Vanilla GAN [53], PyDiff [54].
such as [29] draw inspiration from Variational Autoencoders (VAEs), employing an encoder-decoder framework to accelerate the diffusion process within a compressed latent space.
Both DMs and variational autoencoders (VAEs) [55], [56] involve mapping data to a latent space, where the generative process learns to transform the latent representations back into data. In both cases, the objective function can also be derived as a lower bound of the data likelihood. However, while the latent representation in VAEs contains compressed information about the original image, classical assumptions suggest that DMs destroy the data after the final step of the forward process. Furthermore, the latent representations in diffusion models have the same dimensions as the original data, whereas VAEs tend to perform better with reduced dimensions. In this case, some existing work has explored the use of diffusion models on the latent space of a VAE to build more efficient models [29], [57], or to construct hybrid models that fully leverage the advantages of both models.
Normalizing flows (NFs) [58], [59] transform a simple Gaussian distribution into a complex data distribution through a series of invertible functions with easily computable Jacobian determinants. However, the learnable forward process of NFs, unlike that of DMs, imposes additional constraints on the architecture due to its requirement for invertible and differentiable properties. DiffFlow [60], serving as a bridge between these two generative algorithms, extends both diffusion models and normalizing flows to enable trainable stochastic forward and reverse processes.
Extending traditional normalizing flows, Continuous Normalizing Flows (CNFs) employ Ordinary Differential Equations (ODEs) to model transformations, learning to predict the velocity field that guides the path between distributions through iterative solving. Rectified Flow [61] proposes straightening paths between distributions, reducing transport costs and accelerating inference. Leveraging this efficiency, Zhu et al. [62] propose FlowIE, which adapts to diverse degradations via flow rectification and reconstruction. By straightening probability transfer trajectories, FlowIE significantly speeds up inference while harnessing pretrained diffusion models. Inspired by Lagrange’s Mean Value Theorem, FlowIE optimizes path estimation, achieving fast and effective task enhancement in fewer than five steps. Another notable extension is Flow Matching (FM) [63], which refines CNFs by regressing vector fields to align with fixed conditional probability paths. FM optimizes these vector fields by predicting the velocity field that efficiently maps noise to data, offering a simulation-free training alternative.
Flow-based models and DMs both aim to map simple distributions to complex data distributions. However, DMs use score-matching to iteratively sample from the target distribution via a stochastic process, while flow-based models transform data deterministically through invertible mappings, allowing for faster computation. Recent large-scale generative models, such as Stable Diffusion 3 [64], have increasingly adopted FM approaches for enhanced efficiency. In low-level vision, Martin et al. [65] introduce the first Plug-and-Play FM-based method, which alternates between gradient descent steps, reprojections along flow trajectories, and denoising, leading to superior performance across various inverse problems. In fact, by eliminating noise perturbations from the diffusion process and utilizing ODE solvers, results similar to FM can be achieved, suggesting that FM is essentially a specialized variant of DMs. Given the limited application of FM in low-level vision, this topic is not further discussed in this paper.
GANs [53] drive the fake data distribution towards the real one through adversarial learning on the generator and the discriminator, ensuring that the sampled data resembles real data. Consequently, GANs are extensively utilized for generating photo-realistic high-resolution images (e.g., PGGAN [66] and StyleGAN series [67]). However, GANs are notorious for their challenging training process due to their adversarial objective [68] and often suffer from mode collapse. In contrast, DMs exhibit a stable training process and offer greater diversity as they are likelihood-based. Despite these advantages, DMs are less efficient than GANs as they require multiple iterative steps during inference.
The distinctions between GANs and DMs also manifest in their ability to manipulate semantic properties within the latent space. GANs’ latent space has been observed to contain subspaces associated with visual attributes, enabling attribute manipulation through changes in the latent space and thus facilitating more precise control over generated images. However, DMs manipulate semantic properties of the latent space in a more implicit and less controllable manner. Fortunately, Song et al. [31] demonstrate that DMs’ latent space exhibits a well-defined structure. Nonetheless, the exploration of DMs’ latent space has been less extensive compared to GANs, indicating the need for further research.
We first define ”natural images”, which depict common scenes and objects encountered in daily life, serving as the

Fig. 6: Linear and nonlinear inverse problems with DMsbased solutions. Figure adapted from [69].
foundational input data in model training and evaluation, particularly for image restoration. In this section, ”images” is the ordinary and general notion of natural images.
Low-level vision tasks primarily focus on various ill-posed inverse problems in the image restoration domain. These tasks aim to restore degraded and noisy low-quality (LQ) images to high-quality (HQ) images. The general form of the forward model can be stated as
![]()
where
is the forward operator that maps the clean image
to the distorted data y. n is the noise.
Through rapid development, DM-based models have achieved significant progress in this domain. Unlike random sample generation methods such as vanilla DDPM in Sec. 2, here the degraded LQ images are used as conditional inputs to guide the latent variables during inference. The models are expected to learn a parametric approximation to the unknown conditional distribution, posterior p (x|y), through a stochastic iterative refinement process.
After conducting a comprehensive review of over 300 relevant DM-based works, we classify them from two perspectives, i.e., training manners and application goals.
3.1 DM-based methods with different training manners
Supervised DM-based methods. Supervised DM-based methods tend to specialize in addressing specific degradation scenarios. They employ the well-designed conditional mechanism to incorporate distorted images as guidance during the reverse process, enabling them to tackle several extreme challenges, such as dehazing and deraining, that cannot be effectively modeled using the form of Eq. (16). However, despite yielding promising performance, these methods need training the DM from scratch using paired clean and distorted images from a particular degradation scenario. This results in costly data acquisition and limits the algorithm’s generalization to other degradation scenarios.
Zero-shot DM-based methods. Zero-shot DM-based techniques, leveraging the image priors extracted from pre-trained DMs, offer an appealing alternative as they are plug-and-play without retraining on a specific dataset. The underlying concept is based on the understanding that pre-trained generative models, constructed using extensive real-world datasets such as ImageNet [70], can serve as a repository of structure and texture. A key challenge lies in extracting the perceptual priors while preserving the underlying data structure from distorted images. Consequently, these zero-shot DM methods are often applied to degradation scenarios simplified as linear reverse problems, such as super-resolution and inpainting. Given the simplicity of the application process, which only requires replacing the forward measurement operator, evaluating performance on linear inverse problems has become a common practice to assess the generalization of newly proposed DMs. However, these works are frequently categorized under multi-task alongside other high-level tasks in existing surveys, without receiving systematic analysis and summary. Hence, we devote a specific subsection to introducing these DM-based solvers for general-purpose image restoration in Sec. 3.2.
Discussion. Owing to the differences in training manners, supervised and zero-shot methods exhibit significant tradeoffs in scalability. Supervised methods, optimized for specific datasets, excel in task-specific performance by aligning closely with data distributions and degradations. In contrast, zero-shot methods leverage prior knowledge to model degradations and incorporate the generalizable knowledge embedded in pre-trained models, offering adaptability and competitive performance across diverse tasks.
3.2 DM-based methods with different application goals
General-purpose image restoration. This section comprises most zero-shot methods and several supervised methods. Notably, most methods mentioned here presuppose prior knowledge of the forward operator
in Eq. (16), confining their scope to non-blind inverse problems. To adhere to specific assumptions, further constraints are occasionally imposed to convert them into linear inverse problems, as shown in Fig. 6. However, the mapping
remains many-to-one, rendering it hard to precisely recover
.
Focusing on sampling from the posterior p(x|y), the relationship can be formally established with the Bayes’ rule: p(x|y) = p(y|x)p(x)/p(y). However, apart from ![]()
, there exists no explicit dependency between y and
, where
denotes the noisy results at time step t. To solve the intractability of the posterior distribution, Song et al. [31] propose conditional denoising estimator
. The condition y is added to the input of the estimator to learn an approximation to the posterior score function
log
without altering the training object. The diffusive estimator jointly diffuses x and y and then learns the posterior approximated from the joint distribution
using denoising score matching. Batzolis et al. [71] rigorously prove the effect of the above two methods theoretically and analyze the errors caused by the imperfections.
To enhance consistency, [73] and [72] guide the gradient towards high-density regions by conditioning it through projections on the subspace. Chung et al. [73] introduce the manifold constraint after the update step, correcting deviations from the data consistency. Using pre-trained DDPM, Choi et al. [72] propose Iterative Latent Variable Refinement (ILVR). As shown in Fig. 7, ILVR is a learning-free method adopting low-frequency information from y to guide the generation towards a narrow data manifold. However, such methods are limited to those noiseless inverse problems.
Besides the above learning-free methods, plug-and-play posterior sampling provides a favorable choice. Graikos

Fig. 7: Guiding generation process in ILVR [72].

Fig. 8: Outline of the IDM [9] framework.
et al. [74] first showcase the viability of directly using pre-trained DDPMs as plug-and-play modules. Kawar et al. [75] propose the Denoising Diffusion Restoration Models (DDRM) to reconstruct the missing information in y within the spectral space of
using Singular Value Decomposition (SVD). Leveraging pre-trained DMs, DDRM demonstrates versatility across several tasks, including SR, deblurring, inpainting, and colorization.
Zhu et al. [76] decouple the data term and the prior term with Half-Quadratic-Splitting and propose DiffPIR, handling a wide range of degradation models with different degradation operators
. Wang et al. [77] propose to solve zero-shot image restoration using Denoising Diffusion Nullspace Model (DDNM). The pseudo-inverse computes the low-dimensional representation, then decomposed into its range and null-space contents. By refining the null-space in the reverse process, DDNM learns missing information in image inverse problems while fitting only linear operators.
Methods based on Schr¨odinger bridges, i.e., InDI [78] and I2SB [79], revisit DMs’ assumptions and depart from commencing the reverse diffusion process from Gaussian noise, ensuring efficiency. Chung et al. [80] propose the Consistent Direct Diffusion Bridge (CDDB), incorporating a novel data consistency module, to realize the generalization of Schr¨odinger bridges on low-level vision tasks.
To mitigate the computational overhead, DMs are shifted from the image level to the vector level. Rombach et al. [29] propose latent diffusion models (LDMs), where both the forward and reverse processes occur in the latent space obtained through an auto-encoder. To balance latent disentanglement and high-quality reconstructions, Pandey et al. [81] integrate VAEs within DM and propose DiffuseVAE, offering novel conditional parameterizations for DMs.
Due to prevalent limitations of various presuppositions, these models are applied to relatively simple degradation scenarios that can be abstracted and simplified as linear inverse problems. Consequently, they are less effective in real-world blind tasks compared to task-specific methods. Super-resolution (SR). DMs have shown prowess in gener-

Fig. 9: Overview of RePaint [87].
ating high-quality outputs with intricate details, addressing over-smoothing and artifacts for high-resolution SR [82]. SRDiff [83] is the pioneering DM-based single-image SR model, using a pretrained low-resolution encoder and a conditional noise predictor to produce diverse and realistic SR predictions. This effectively addresses over-smoothing and large footprint issues in previous methods [5].
Cascaded Diffusion Models (CDM) [84] proposes to arrange multiple DMs. The initial model generates low-resolution images based on classes while subsequent models progressively generate images with higher resolutions, facilitating SR at arbitrary magnifications. Leveraging the advantages of residual modeling, Yue et al. [85] achieve competitive results in SR within just a few steps. The proposed ResShift establishes a Markov chain between the HR/LR image pair by shifting their residual, along with an intricately designed noise schedule for precise controlling. Wang et al. [86] achieve further breakthroughs in acceleration with SinSR, which performs SR in a single sampling step. By deriving a deterministic sampling strategy from SOTA methods like ResShift, the distilled student models with a consistency-preserving loss match or even surpass teacher methods, achieving up to a tenfold speedup in inference.
Gao et al. [9] propose implicit DMs for continuous SR (in Fig. 8). They introduce a scale-adaptive mechanism to adjust the ratio of realistic data and use implicit neural representation to capture complex structures across continuous resolutions. Niu et al. [88] first use a pretrained SR model to generate high-resolution inputs. Besides, they propose a
order sampler to perform a deterministic denoising process, reducing the iteration number. Wang et al. [43] propose StableSR to leverage prior knowledge contained in pretrained text-to-image DMs for blind SR. By utilizing a time-aware encoder, StableSR achieves promising restoration results without modifying the pretrained synthesis model.
Lin et al. [89] use generative priors to design DiffBIR for blind image SR, decoupling the restoration process into two stages. Sun et al. [90] propose CoSeR, which leverages generative images from a pretrained LDM as implicit priors. It combines generated results with low-resolution priors and CLIP’s semantic priors [91] to control the diffusion process. Yu et al. [45] introduce SUPIR, further leveraging multi-modal techniques and advanced generative priors. By incorporating textual prompts into the restoration process, SUPIR guides the model to better understand and reconstruct severely degraded images. This enhances perceptual quality and enables user-defined, targeted restoration. Inpainting. As a probabilistic generative model, DMs exhibit robust generalization across different masks and effec-

Fig. 10: Overview of the method proposed in [94].
tively handle large missing regions. RePaint [11] employs an enhanced denoising strategy involving resampling iterations to better condition images in Fig. 9. RePaint first generates a rough estimate and then refines it by a DM with a Markov random field. To specify a desired inpainted object, Gebre et al. [92] input an extra target image to guide the generation of the masked region, providing valuable exploration in the controllable generation. Zhang et al. [93] employ both image and text as multi-modal guidance. By integrating the inverse process with CLIP, semantic information is better encoded, thus enhancing controllability.
Spatial DM [95] employs a Markov random field to estimate the missing pixels, which considers surrounding contexts and thus inpaints large missing regions. Saharial et al. [96] introduce Palette to explore diverse optimization objectives and highlight self-attention. BrushNet [97] is a plug-and-play model and embeds pixel-level masked features into any pre-trained DMs by separating masked features and noisy latent. Grechka et al. [98] propose a training-free DM, GradPaint, for gradient-guided inpainting, aiming to improve the coherence and realism of generated images. Deblurring. DMs in realistic deblurring often rely on hand-designed networks. Wang et al. [94] first introduce DMs (in Fig. 10) into deblurring, proposing a “predict-and-refine” conditional DM. This architecture comprises a deterministic data-adaptive predictor and a stochastic sampler, refining the output through residual modeling. Ren et al. [10] introduce multiscale structure guidance in image-conditioned DPMs for deblurring. Their guidance module projects the input into a multiscale representation and the guidance is integrated into intermediate layers as an implicit bias, thus enhancing robustness. Hierarchical Integration Diffusion Model (HI-Diff) [99] leverages LDM to generate priors and fuse these priors through a cross-attention mechanism, enabling generalization in complex scenarios.
Laroche et al. [100] propose a DM-based blind image deblurring method. This method integrates DMs with the Expectation-Minimization (EM) estimation to jointly estimate restored images and the unknown blur kernel. Spetlik et al. [101] propose a DDPM-based method for single-image deblurring and trajectory recovery of fast-moving objects, getting competitive results to multi-frame methods. DiffEvent [102] firstly introduces DMs into event deblurring. To adapt to real-world scenes, DiffEvent builds an Event-Blur Residual Degradation (EBRD) to provide pseudo-inverse guidance, enhancing subtle details and handling unknown degradation. Luo et al. [87] propose the Image Restoration Stochastic Differential Equation (IR-SDE), whose core is a mean-reverting SDE with a maximum likelihood objective. This ensures that the entire SDE will diffuse towards the

Fig. 11: Overview of PyDiff [54].
mean
(low-quality image) with specific Gaussian noise. Owing to its ability to simulate the degradation process, IRSDE also excels in super-resolution and inpainting. Dehazing, deraining, and desnowing. As aforementioned, real-world degradations like dehazing and deraining are complex and cannot be effectively modeled by a prior operator
. Consequently, they pose challenges for incorporation into general-purpose image restoration frameworks. ¨Ozdenizci et al. [34] present a patch-based image restoration algorithm termed WeatherDiffusion. This approach facilitates size-agnostic image restoration by employing a guided denoising process with smoothed noise estimates across overlapping patches during inference, mitigating the drawbacks of merging artifacts from independently restored intermediate results. WeatherDiffusion achieves superior performance on both weather-specific and multi-weather image restoration tasks, including dehazing, desnowing, deraining [103], and raindrop removal. Building upon IR-SDE, Luo et al. [35] further enhance it to perform restoration in a low-resolution latent space, which constitutes a resolution-agnostic architecture. This enhancement offers another viable option for handling large-size images. Wang et al. [104] propose a Frequency Compensation block, equipped with a bank of filters that collectively amplify the mid-to-high frequencies of an input signal, enhancing the reconstruction of image details and improving generalization to real haze scenarios. Low-light image enhancement. Compared to the blackbox design in other tasks, a plethora of research related to DMs has emerged in low-light image enhancement (LLIE). Zhu et al. [105] first introduce DMs into LLIE within spacebased visible cameras. This method effectively reduces computational complexity by diffusing processes on grayscale images and supplementing features with RGB images. Wu et al. [106] focus on restoring pure black images, providing a robust generative network for enhancing low-light images with diverse outputs. Zhou et al. [54] propose the Pyramid Diffusion model named PyDiff (illustrated in Fig. 11) for LLIE, which increases the resolution during the reverse process, reducing computational burden. Jiang et al. [107] introduce a wavelet-based conditional diffusion model, which proposes a high-frequency restoration branch module to provide extra vertical and horizontal details. Wang et al. [108] integrate DMs with a physics-based exposure model in the raw image space, where the reverse process can start from a noisy image, boasting fast inference speed. Some methods that integrate DMs with other advanced

Fig. 12: The overall framework of Dif-Fusion [114].
techniques have yielded superior results. Hou et al. [109] introduce a global structure-aware regularization to constrain the intrinsic structures, along with an uncertainty-guided regularization to relax constraints on extreme situations. Diff-Retinex [110] decomposes the image into illumination and reflectance maps and then uses multi-path DMs to estimate the clean image. Adopting the opposite strategy, He et al. [12] propose a Retinex-based LDM to extract reflectance and illumination priors, and then perform decomposition and enhancement using a Retinex-guided transformer, achieving superior results. Yin et al. [111] achieve an interactive and controllable LLIE model based on a conditional DM. Users can customize the brightness level and enhance specific target regions with the Segment Anything Model [112]. To fully utilize the CLIP-based model prior, Xue et al. [113] introduce multi-modal visual-language information and propose a novel approach named CLIP-Fourier Guided Wavelet Diffusion (CFWD). CFWD combines the strengths of wavelet transform, Fourier transform, and CLIP to guide the DM-based enhancement process in a multiscale visual-language manner, demonstrating the immense potential of integrating semantic features from CLIP and high-frequency detail recovery from the Fourier transform. Image fusion. Image fusion can elevate the overall visual quality and facilitate diverse downstream applications. Yue et al. [114] propose the first DM-based method, DifFusion, for image fusion (see in Fig. 12). By creating a multi-channel data distribution, Dif-Fusion enhances color fidelity in infrared-visible image fusion (IVF). Guo et al. [115] propose GLAD, which leverages DMs to capture the joint distribution of multi-channel data, addressing texture and edge blurring. Li et al. [116] apply the DDPM model to the multi-focus image fusion task, showcasing excellent performance in terms of noise resistance.
Zhao et al. [117] propose DDFM for IVF and divide the problem into an unconditional DDPM for utilizing image generation priors and a maximum likelihood sub-problem for preserving cross-modal information of source images, generating visually fidelity results. Diff-IF [118] breaks down the diffusion process into a conditional DM and multi-modal fusion knowledge prior, which is used to guide the forward diffusion process. Cao et al. [119] devise two injection modulation modules to introduce coarse-grained style information and fine-grained frequency information, achieving state-of-the-art results. Yang et al. [120] introduce LFDT-Fusion for general image fusion, which compresses inputs into a low-resolution latent space and employs a transformer-based denoiser to achieve the diffusion process. Discussion. Various task-specific DM modifications mentioned in Sec. 3.2 impact interpretability and generalizability. For instance, latent space compression [29] facilitates the

Fig. 13: Overview of DiffAMRI [122].
acquisition of generalized latent representations, while such representations are inherently compact, thus reducing interpretability. Hybrid models [4], [12], leverage DM priors to guide and improve other methods, enhancing controllability and validating interpretability through explicit prior usage. Integrating the strengths of different frameworks, hybrid models also achieve superior generalizability.
4.1 Diffusion models for medical image processing
Compared with natural data, medical data acquisition typically involves more intricate and precise physical imaging processes [121], resulting in poor image quality due to equipment and usage limitations (e.g., hospital throughput requirements, patient examination time constraints, and radiation dosage limits). Leveraging the robust learning capacity of DMs, these models can implicitly capture knowledge related to imaging physics from dataset distributions. Hence, DM-based methods have been introduced to address low-quality medical images degraded by imaging limitations, e.g., limited-angle computed tomography (CT) and accelerated magnetic resonance imaging (MRI).
In addition to enhancing low-quality data, another key application of DM-based methods is the generation of missing modalities. In disease diagnosis, the combination of multi-modal data assists doctors in making more accurate diagnoses. However, certain rarer medical images (e.g., Positron Emission Computed Tomography (PET) and Optical Coherence Tomography (OCT)) unavoidably contain speckle noise that traditional methods fail to eliminate. Due to the nature of generative models in detail reconstruction, diffusion models are well-suited for addressing such issues.
To provide a multi-perspective categorization, we will classify methods according to their imaging modalities, covering MRI, CT, multi-modal, and other modalities. MRI. MRI involves a time-consuming imaging process, where patient movement can lead to various artifacts. Hence, medical image reconstruction is necessary to achieve faster acquisition speed. Chung et al. [122] design a score-based framework for accelerated MRI reconstruction, shown in Fig. 13. They train a time-dependent score function using score matching on magnitude images and employ the VE SDE for sampling distribution from the pre-trained score model. By applying data consistency mapping, this approach effectively handles multi-coil images and exhibits robust generalization to different subsampling patterns.
Ozturkler et al. [123] propose SMRD, integrating Stein’s Unbiased Risk Estimator into the sampling stage of DMs for automatic hyperparameter tuning. SMRD addresses the reliance on validation-based hyperparameter tuning, offering a more automated solution. G¨ung¨or et al. [124] present

Fig. 14: Overview of DOLCE [13].
AdaDiff for MRI reconstruction. AdaDiff uses an adaptive diffusion prior trained via adversarial mapping over a twophase process: a rapid-diffusion phase for initial reconstruction, followed by an adaptation phase for prior refinements. Similarly, DiffuseRecon [125] leverages a pre-trained diffusion model with under-sampled signals gradually guiding the reverse diffusion process. This shows robustness to varying acceleration factors without requiring retraining. Korkmaz et al. [126] propose SSDiffRecon, a self-supervised method that constructs training pairs by randomly masking under-sampled k-space data. By further combining data consistency blocks, SSDiffRecon can accurately model complex data distributions, improving reconstruction reliability. CT. Similar to MRI, limited-angle CT reconstruction has been a primary focus in CT research, aiming to reduce patient radiation exposure and enhance examination throughput. DM-based methods have shown remarkable performance in this reconstruction task. For example, Liu et al. [13] introduce DOLCE, a method specifically designed for limited-angle CT reconstruction within a DDPM framework. Conventionally, the Filtered Back Projection (FBP) algorithm [127] is employed to map CT images from sinograms, leveraging the Fourier slice theorem. However, limited-angle measurements lead to Fourier measurement loss and subsequently degraded reconstruction outcomes.
Due to the ill-posed nature, directly using DDPM presents challenges. Following the design in inpainting tasks, DOLCE [13] integrates the FBP output on limited sinograms as prior information to condition the diffusion model (Fig. 14). Besides, DOLCE enforces a consistency term in the denoising iteration to ensure reconstruction consistency through iterative refinement using proximal mapping in the inference step to meet the consistency conditions presented by sinograms. Evaluation on C4KC-KiTS verifies DOLCE’s effectiveness in generating high-quality CT images. Multi-modal medical data. MRI and CT are the two most widely used medical imaging modalities. MRI shows soft tissues such as vessels and organs in rich contrast while CT is preferred for imaging hard tissues such as bones and interfaces. Due to their complementary characteristics, multi-modality imaging with MRI and CT is often used in clinical practice. Therefore, the development of a simultaneous CTMRI device is currently a hot research topic, and various studies have been carried out to propose advanced designs for such a device [128]–[130]. To translate MR to CT images, Lyu et al. [131] examine conditional DDPM and SDE models, employing three different sampling methods.
Meng et al. [132] introduce a Unified Multi-Modal Conditional Score-based Generative Model (UMM-CSGM) to complete missing modality images. This model is presented in a conditional SDE, using a multi-in multi-out conditional score network (mm-CSN) module, to learn cross-modal conditional distributions. Due to inter-modality differences, training DM-based models in a zero-shot manner is not

Fig. 15: General pipeline of DenoOCT-DDPM [135].
feasible for image translation and can only be applied to certain tasks with low difficulties, e.g., CBCT-to-CT image translation and cross-institutional MRI image translation. For example, Li et al. [133] propose the Frequency-Guided Diffusion Model (FGDM), which uses frequency-domain filters to preserve structure during translation. FGDM enables zero-shot learning and exclusive training on target domain data, allowing direct deployment for source-to-target domain translation. Other modalities. PET, crucial for cancer screening, faces challenges related to low SNR and resolution due to the limited beam count radiation during scans. To mitigate the oversmoothing in previous PET denoising methods, Gong et al. [134] introduce a DDPM-based framework for PET denoising, termed PET-DDPM. PET-DDPM explores the collaboration of diverse modalities to learn noise distribution through PET images. The MR image, serving as the prior, is seamlessly integrated as the input for the denoising network. Experiments reveal that employing MR prior as the input while embedding PET images as a data-consistency constraint during inference achieves the best performance.
Hu et al. [135] apply a DDPM to address speckle noise in OCT volumetric retina data in an unsupervised manner called DenoOCT-DDPM, aiming to address the intrinsic challenges of OCT imaging due to restricted spatialfrequency bandwidth. DenoOCT-DDPM exploits DDPM’s adaptability to noise patterns and incorporates self-fusion as a preprocessing step, feeding the DDPM with a clear reference image for training the parameterized Markov chain (refer to Fig. 15), thus eliminating speckle noise while preserving detailed features like small vessels.
4.2 Diffusion models for remote sensing data
The versatility of diffusion models makes them well-suited for remote sensing data processing. Their applications span a spectrum of challenges encountered in the analysis of diverse remote sensing modalities, including visible-light images, hyperspectral imaging (HSI), and Synthetic Aperture Radar (SAR). These tasks encompass but are not limited to super-resolution [136]–[138], despeckling [139], [140], cloud removal [8], [141], [142], multi-modal fusion [119], and cross-modal image translation [143].
We continue categorizing these works based on the imaging modality, examining the significant impact of DMs. Visible-light remote sensing data. Visible-light Remote Sensing Images share a high similarity with natural images. In this case, Sebaq et al. [144] employ techniques similar to Imagen [145] for low-resolution generation and reference the SR pipeline of CDM [84], constructing a powerful framework for high-resolution satellite imagery generation.
Given that RS images suffer from detail loss, Liu et al. [138] propose the first DM for Remote Sensing Super-

Fig. 16: Architecture of RSDDM [146] for RS dehazing.
Resolution and introduce a supplement inpainting task through random masking, aiming to enhance the recovery ability for specific small objects and complex scenes. Considering that RS images often have higher resolution and exhibit unusual sizes, Huang et al. [146] introduce an Adaptive Region-Based DM (in Fig. 16) to address arbitrary RS image dehazing tasks. They employ the cyclic shift strategy [147] to eliminate inconsistent color and artifacts. Hyperspectral imaging. HSI is a crucial modality in remote sensing with widespread applications. However, due to the limitations of imaging devices, HSIs suffer from data-hungry, noise corruption, and low spatial resolution. Zhang et al. [148] propose the first DM for HSI generation. The authors employ a spectral folding technique to achieve spectral-to-spatial mapping, addressing the convergence challenges due to their high channel count. Deng et al. [149] propose a DM-based model for HSI denoising, utilizing random masking, resembling the one in [138], to balance spatial and spectral information for performance improvement.
As shown in Fig. 17, Miao et al. [150] introduce an innovative self-supervised DM, DDS2M, for HSI restoration, addressing the data-hungry issue. DDS2M leverages the variational spatio-spectral module, comprising two untrained networks, each focusing on the spatial and spectral dimensions, to exploit the intrinsic structural information of the underlying HSIs. By introducing prior information, DDS2M can learn the posterior distribution solely using the degraded HSI. Experiments on HSI denoising and noisy HSI completion verify the superiority of DDS2M.
To balance the spatial and spectral resolutions of spectral images, Wu et al. [136] propose HSR-Diff, the first diffusion model for HSI Super-resolution. The model fuses high-resolution multispectral images with low-resolution hyperspectral images (LR-HSI) to obtain HR-HSI. Shi et al. [137] employ a similar approach and demonstrate the effect of DM-based models on multiple remote sensing datasets. Synthetic Aperture Radar. Tuel et al. [151] pioneer the use of diffusion models for radar remote sensing imagery. This method highlights, due to limited data, the lack of powerful feature extractors specific to remote sensing data as a major bottleneck for high-quality generation. Speckle, a type of signal-dependent multiplicative noise affecting coherent imaging modalities including SAR images, is addressed by Perera et al. [139], who introduce DDPM to SAR despeckling. Besides, a new inference strategy based on cycle spinning is proposed to further improve performance. Xiao et al. [140] transform multiplicative noise into traditional additive noise through operations in the logarithmic domain for DM-based denoising. This method introduces a patch-

Fig. 17: An overview of the self-supervised DDS2M in [150].
shifting and averaging-based algorithm to adapt to inputs of arbitrary resolutions, further enhancing performance. Muti-modal remote sensing data. SAR images are robust to weather conditions but are hard to interpret, lacking intuitive visual clarity. Hence, SAR often collaborates with other modalities for cloud removal. Similarly, in DM-based models, compared to simply modeling cloud removal tasks as inpainting tasks, results with SAR as auxiliary input often exhibit higher credibility. Jing et al. [8] introduce an innovative approach in optical satellite images with DDPM Feature-Based Network for Cloud Removal (DDPM-CR). This model incorporates auxiliary SAR data and multilevel features from DDPM to recover missing information across various scales. A cloud loss is proposed to balance information recovery in the cloud and no cloud regions. Zhao et al. [141] propose CRRS that integrates multi-temporal sequence information into DMs , combining two mainstream cloud removal concepts in a single framework.
Rui et al. [152] propose the first unsupervised hyperspectral pansharpening method leveraging a pre-trained diffusion model. By projecting hyperspectral images into a low-dimensional subspace, the approach exploits their low-rank properties to learn distributions efficiently. This method addresses the complexities of merging low-resolution hyperspectral data with high-resolution panchromatic images, yielding superior quality and improved generalization compared to traditional Bayesian and deep learning methods. Seo et al. [143], employing a self-supervised denoiser in the latent space, train the Brownian-Bridge diffusion model to achieve SAR to Electro-Optical image translation tasks, thereby achieving visual-fidelity performance.
4.3 Diffusion models for video processing
The latest research endeavors aim to extend the exploration of DMs into higher-dimensional data, particularly in video tasks [171]–[175]. However, compared with image, video processing requires temporal consistency across video frames. Currently, the number of DM-based video models is relatively few, only applied in several fundamental tasks. Video frame prediction and interpolation. Renowned for remarkable generative capacities, DM-based models are especially suitable for video prediction and interpolation. Yang et al. [6] first use DMs in autoregressive video prediction. The two-stage hybrid model initially utilizes RNNs to obtain deterministic predictions for the next frame, providing sequential priors for the DM. Then the DM focuses on modeling residuals, whose effect is verified with various metrics perceptually and probabilistically.
By employing different mask manners for time series, masked conditional DMs can be trained for prediction
TABLE 1: Datasets for low-level vision. In the column of scales, we present detailed separation information if the dataset is separated as the training and testing sets. Due to space constraints, only three representative datasets are listed. For a comprehensive collection, please refer to our repository. Clicking on the dataset will redirect you to its download link.

and interpolation. H¨oppe et al. [176] introduce conditions through a randomized masking schedule, allowing the model to be trained conditionally with only slight modifications to the unconditionally trained models. Voleti et al. [177] employ a similar masking concept but further propose a blockwise autoregressive conditioning procedure to facilitate coherent long-term generation. In contrast to direct modifications of DDPM, Danier et al. [178] first use LDM in video frame interpolation. They design a vectorquantized autoencoding model for LDM, better recovering high-frequency details and achieving perceptual superiority. Video super-resolution. Early DM-based video works [172], [173] merely tailor the classical framework to meet data dimensionality of input-output sequences and train the models from scratch, resulting in an undeniable computational burden. Given the tremendous success of DMs [29], one approach is to leverage off-the-shelf pre-trained models and endow them with temporal modeling capacities by integrating temporal layers into the U-Net architecture. Inspired by [171], [174], [177], Yuan et al. [179] propose an efficient DM for text-to-video super-resolution. By inflating text-to-image model weights into the video generation framework with an attention-based temporal adapter, this method achieves high-quality and temporally consistent results.
Striving for Spatial Adaptation and Temporal Coherence (SATeCo), Chen et al. [180] propose a novel video SR approach SATeCo, which freezes pre-trained parameters and optimizes spatial feature adaptation (SFA) and temporal feature alignment (TFA) modules. Experiments validate the effect of the modules in preserving spatial fidelity and enhancing temporal feature alignment.
Video restoration. Limited DM-based algorithms focus on video restoration, showing a promising future direction. Yang et al. [181] propose a novel Diffusion Test-Time Adaptation (Diff-TTA) method for all-in-one adverse weather removal in videos. At the training stage, a novel temporal noise model is introduced to exploit frame-correlated information in degraded video clips. During inference, the authors first introduce test-time adaptation to DM-based methods by proposing a novel proxy task named Diffusion Tubelet Self-Calibration (Diff-TSC). This allows the model to adapt in real-time without modifying the training process and achieve restoration under unseen weather conditions.
5 EXPERIMENTS
5.1 Datasets
Large-scale datasets for model pre-training. Several large-scale datasets, e.g., ImageNet [70] and CelebA [182], are commonly used for generative model pre-training [183], [184]. ImageNet [70] is a large-scale dataset with over 14 million natural images spanning over 21k classes, termed Ima-geNet21K. ImageNet1k, serving as a subset of ImageNet21K, has 1k classes with about 1k images per class. Besides, CelebA has 200k facial images, each annotated with 40 attributes, where CelebA-HQ [185] is a subset having 30k high-resolution facial images. Please see our repository for more datasets.
Low-level vision datasets for model training. Various datasets are tailored to accommodate various degradation modes. For space limitations, we summarize commonly used datasets for several classical low-level vision tasks in Table 1. Please refer to our repository for more information. In practice, DM-based models are typically pre-trained on large-scale datasets to learn general features and structures, before being fine-tuned on specific low-level vision datasets to address the specific degradation issues.
5.2 Evaluation metrics
Distortion-based metrics. Several commonly used metrics are introduced here. Peak Signal-to-Noise Ratio (PSNR)
TABLE 2: Results of DM-based 4
SR methods.

TABLE 3: Results of DM-based motion deblurring methods.
TABLE 4: Results of zero-shot DM-based inpainting methods using the same pre-trained model with 552.8M parameters (LPIPS
).
TABLE 5: Results of DM-based low-light enhancement methods (*: using the gt mean strategy,
: a multi-modal method,
: cross-dataset transfer learning tests from LOLv2-Real (v2R), LOLv2-Syn (v2S) to LOLv1 (v1).).

quantifies the pixel-wise disparity between a corrupted image and its clean image by computing their mean squared error, while Structural Similarity (SSIM) assesses the likeness between distorted and clean images across three aspects, including contrast, brightness, and structure. Mutual Information (MI) [186] and Qabf [187] are two important fusion metrics, where MI evaluates the amount of information transferred from source images to the fused image and Qabf focuses on the preservation of edge information.
Inception-based metrics. Learned Perceptual Image Patch Similarity (LPIPS) [188] and Fr´echet inception distance (FID) [189] are two representative metrics. LPISP uses the pre-trained AlexNet as a feature extractor and adjusts linear layers to emulate human perception. Besides, FID assesses the fidelity and diversity of generated images by computing the Fr´echet distance of their reference images.
Human-centric evaluations. Human-centric evaluation is a subjective assessment method, where participants select the image verifying the most effective performance from a set of images. For fairness, anonymizing the method and randomizing the order is essential. Human assessment scores are calculated using the Mean Opinion Score (MOS) derived from a pool of participants. A higher MOS indicates superior perceptual quality as perceived by humans.
Downstream application-based evaluations. Apart from improving visual quality, generating those enhanced images that can facilitate high-level vision tasks, such as image segmentation [13], [194], is also a significant object. Hence, the evaluation of various methods extends to examining the impact on real-world vision-based applications.
5.3 Experimental results
The runtime of all algorithms was measured at a resolution of
using an RTX 4090 GPU. For methods that
are not publicly available, their cells are marked with “-”.
Results on super-resolution. The results for DM-based models on 4
image SR, tested on DIV2k [22] and Urban100 [153], are listed in Table 2. We find that IDM [9] and DiffIR [4] perform well on LPIPS. They leverage preprocessed features as conditional input, enhancing perceptual quality. Resdiff [191] performs well on PSNR and SSIM. This is because Resdiff focuses on residual information, ensuring salient consistency. Visualization is presented in Fig. 18.
Results on deblurring. We evaluate five DM-based methods on the motion deblurring task using the Gopro [23] and HIDE [155] datasets. As shown in Table 3, DiffEvent [102] and HI-Diff [99] achieve competitive performance on PSNRs and SSIMs. DiffEvent is enabled to achieve both low-light recovery and image deblurring by introducing a learnable decomposer. In contrast, MSGD [10] introduces a multi-scale structural bootstrap to better sample from the target condition distribution, hence the best performance on perceptual metrics. The qualitative analysis is presented in Fig. 18.
Results on zero-shot inpainting. As shown in Table 4 and Fig. 18, the experimental results demonstrate that Tiramisu [193] consistently outperforms others in most scenarios, particularly excelling in cases with large masks. This is because Tiramisu uses TPMs to constrain the generation process of natural images. In contrast, the Repaint [11] stands out in narrower regions by sampling from the given pixels during the reverse iterations.
Results on low-light image enhancement. Basic experiments are conducted on LOLv2-Real (v2R) [164] and LOLv2-Syn (v2S) [164], with the results presented in Table 5 and Fig. 18. GSAD [109] shows superior performance in PSNR, while Reti-Diff [12] achieves competitive performance in LPIPS [188]. CFWD [113] first introduces multi-modal into diffusion-based low-light enhancement,

reaching the best real-world performance. To explore how datasets, such as synthetic versus real-world data, shape performance trends, we conduct further cross-dataset transfer tests. Considering that the ultimate goal of low-level vision methods is practical application under real-world degradation, we tested models trained from the real-world dataset (v2R) and the synthetic dataset (v2S) on the real-world dataset LOLv1 (v1) [163] respectively. Evidently, models trained on real-world data consistently outperform those trained on synthetic data in practical scenarios. Noting that GSAD [109] and PyDiff [54] employ the “gt mean” strategy, which involves fine-tuning the brightness of the generated results using the ground truth, thus producing much more impressive results than others in PSNR.
Results on infrared and visible image fusion. The results are reported in Table 6 and Fig. 18. DDFM [117] designs a likelihood rectification module and achieves impressive SSIM, indicating strong structural fidelity. Diff-IF [118] stands out with a strong Qabf [187], hinting at its effect enhancing image quality. LFDT-Fusion [120], combining LDM and transformer, achieves the highest MI [186] on MSRS and gets competitive scores in Qabf and SSIM on M3FD.
Results on accelerated MRI reconstruction. As presented in Table 7 and Fig. 18, AdaDiff [124] achieves the best overall performance, particularly in the R=8x scenario. SSDiffRecon [126] combines a conditional DM with data-consistency projections, showing strong performance, particularly in R=4x, where it closes to AdaDiff [124] in both PSNR and SSIM. The visualizations presented in Fig. 18 further confirm that both methods generate high-quality reconstruction results. Discussion of model scalability. The analysis indicates

6.1 Mitigating the limitations of DMs
Due to the high computational overhead, DMs encounter barriers to be applied in low-level vision tasks. Two viable ways are listed and discussed to mitigate this challenge.
Reducing sample steps. Various efforts, extending beyond low-level vision, have been undertaken to enhance the sampling efficiency of DM: (1) Modeling the diffusion process with a non-Markov Chain, such as DDIM [27]. (2) Designing efficient ODE solvers [50]. (3) Using knowledge distillation to reduce sampling steps [195]. (4) Performing DMs on compressed latent spaces [29]. (5) Introducing cross-modality priors with conditional mechanisms [196], [197]. (6) Rethinking diffusion process modeling with more efficient latent variable transitions (e.g., residual-based methods in Resshift [85]) and optimized noise design [198].

These efforts reduce sampling steps to 10-20, with some studies, e.g., SinSR [86], even getting results in a single step, ensuring faster reconstruction. DDRM [75] achieves an inference time reduction to 5 seconds for a single
image by using the sampling strategy of DDIM [27]. Besides, some studies [199], [200] initialize networks by sampling from low-quality images or one-step reconstruction results of baseline networks, streamlining the learning target. However, despite notable progress, the overall computational cost remains high, particularly for high-resolution images, presenting a substantial gap from real-time applications.
Compressing model consumption. The deployment of DMbased models in low-resource environments, such as edge devices, faces challenges due to their immense parameter size and computational complexity. Apart from employing fewer-step inference, researchers can explore architectural optimizations to address this issue, including model quantization, pruning, and knowledge distillation. Zhang et al. [201] combine automated layer pruning with normalized feature distillation to compress models. Castells et al. [202] propose EdgeFusion, an optimized model for deploying SDMs on Neural Processing Units, which leverages advanced distillation techniques and model-level tiling to facilitate rapid inference. However, current methods primarily focus on generation tasks. In the future, these techniques are expected to be extended to low-level vision tasks, leveraging specific properties of each task for model compression.
6.2 Amalgamating the strengths of DMs with the traits of low-level vision
The greatest trait of low-level vision lies in the diversity of evaluation criteria, including visual fidelity, content invariance, and downstream task-based evaluations. DM-based methods, generating visual fidelity results, also should ensure the content invariance of the original one and the generated result and facilitate downstream tasks. Perception-distortion trade-off. DM-based methods generate visually appealing results and excel in inception-based metrics, such as LPIPS [188] and FID [189]. However, their high diversity often leads to challenges in maintaining content consistency, resulting in suboptimal performance in those distortion-based metrics such as PSNR and SSIM.
One potential solution involves designing hybrid models that integrate DMs with CNN-based or Transformer-based frameworks [4], [12]. These hybrid models have shown promising results, particularly in improving distortion-based metrics. Besides, Pareto-frontiers are introduced as a comprehensive indicator to evaluate both perception and distortion and have proven the positive shift of the multi-scale guidance mechanism [80] that enhances coarse sharp image structures (in Fig. 19 (a)). However, breakthrough progress has not yet been made and further explorations about novel mixed structure and new metrics are expected. Downstream task-friendly designs. Enabling reconstructed images to better serve downstream tasks is a continuous endeavor in low-level vision research [44], [203], [204]. This pursuit manifests in three primary approaches with DMs.
First, as shown in Fig. 19 (b), several strategies [24], [205] adopt bi-level optimization to jointly optimize the networks of both the low-level vision task and the downstream task, such as image segmentation and object detection. By jointly optimizing the enhancement network with constraints from both itself and the downstream task, these methods aim to produce visually appealing results while enhancing downstream performance. Besides, He et. al [24] propose feature-level information aggregation between low-level vision tasks and downstream tasks instead of the previous image-level manner, improving performance with deep constraints. Inspired by the adversarial attacks, which introduce slight perturbations to cause original methods to fail, Sun et. al [206] propose adding slight noise to dehazed images. This strategy enhances downstream detection performance without altering the visual outcome. However, these methods are often tailored to specific downstream tasks. There remains a need for a unified strategy, especially DM-based solutions that can generate visually friend results, to optimize generated images for a wide range of downstream tasks, which awaits further exploration.
6.3 Tackling the inherent challenges of low-level vision
Low-level vision tasks have several inherent challenges, including generalizability, data volume, and controllability. Real-world image restoration. Two ways help DM-based methods to address real-world scenarios [207], i.e., distortion invariant learning (DIL) and distortion estimation (DE).
DIL, renowned for its degradation-invariant representation and structural information preservation [208], can enhance DM-based methods by incorporating a distortioninvariant noise predictor and condition. This enables these methods to generalize effectively to diverse and even unknown degradations. Pioneering efforts have focused on redesigning the condition module to achieve distortioninvariant conditions, as demonstrated in works such as DifFace [209] and DR2 [210]. Notably, the effectiveness of such conditions also relies on DIL, warranting further research.
Moreover, DE techniques, extracting prior knowledge of degradation processes, are also urgently needed to extend the zero-shot diffusion models to real-world applications. Even though explicit results cannot be obtained, the powerful image synthesis capability of DMs can be utilized to convert synthetic datasets into real-world paired datasets, which will be discussed in detail in the following subsection. Data generation for data-hungry fields. Data hungry is a prevalent challenge in low-level tasks, often stemming from limitations inherent in imaging devices and scenarios.
While the unsupervised training is one avenue, many existing approaches [24] resort to data generation strategies
to create pseudo image pairs. These pairs typically consist of generated degraded low-quality images paired with their corresponding original high-quality counterparts. This is a promising way for DM-based methods, although with limited explorations, for their powerful generation capacity. Moreover, certain extreme tasks suffer from severely limited data availability due to the difficulty or costliness of data acquisition, as seen in Photoacoustic data [211] and Cryo-electron microscopy data [212]. He et. al [68] propose leveraging existing data to generate more training data with GAN and thus enhance the generalizability of the method. This strategy aligns well with the DM-based methods, offering stable training conditions. Furthermore, controllable data generation, facilitated by user interaction, presents a promising approach to filtering out negative data that could otherwise affect stable performance. Controllable and interactive low-level vision. Enhancing the controllability of low-level vision methods, enabling them to discern what and where users desire recovery, is of paramount importance. This focus has persisted over time, with efforts including the integration of human perceptionrelated loss functions [213] and interactive guidance priors [24], [214]. Recently, the utilization of vision prompts facilitated by Vision-Language models [215] has provided a means for existing low-level vision methods to explicitly incorporate and interact with prompts within their networks, thereby achieving improved control and restoration effects [216]. Given that these vision prompts can act as interactive priors to curb the excessive diversity inherent in DM-based methods, leveraging Vision-Language models to develop controllable and interactive DM-based methods shows promise.
Moreover, future efforts should address real-world scenarios that involve multiple degradations. Zheng et al. [217] introduce a novel DM-based method named DiffUIR, employing a selective hourglass mapping technique. DiffUIR combines shared distribution mapping and robust conditional guidance based on Residual Denoising Diffusion Models [218] to improve image restoration performance. Improving the internal mechanisms of deep learning to better learn the distribution of multi-task degradations represents a promising direction for future DM-based explorations.
6.4 Empowering low-level vision through multi-modal advances
Multi-modal technology has advanced rapidly in image generation, revolutionizing the integration of images, text, and other relevant data. This section seeks to draw inspiration from advancements in generation to foster the development of low-level vision using multi-modal techniques. Text prompt for low-level vision. Leveraging multi-modal condition control, recent low-level vision methods combine text-based inputs to harness the potential of CLIP in pre-trained DMs. This integration has led to notable performance improvements across various tasks [90], [113], enabling user-centered, customized image restoration [45], and even achieving all-in-one restoration [219], [220].
By using pre-trained DMs and multi-modal prompt engineering, these models demonstrate superiority over task-specific methods, showcasing robustness and adaptability in
zero-shot settings. Ai et al. [220] introduce MPerceiver, the first multi-modal prompt framework that leverages Stable Diffusion’s generative priors for all-in-one image restoration. MPerceiver employs a dual-branch architecture with a cross-modal adapter to convert CLIP image embeddings into degradation-aware text prompts. AutoDIR [219] leverages text prompts to enable customizable image restoration for multiple degradation types, using a CLIP model fine-tuned with semantic-agnostic constraints to detect dominant degradations and generate text prompts for DM-based image restoration, supplemented by user inputs. Extending to additional modalities beyond text. Multimodal approaches extending beyond text and images show great potential for low-level vision tasks. Incorporating audio as an additional modality could further boost performance, particularly in video-related tasks where audio cues serve as valuable contextual information. The temporal and auditory alignment can provide insights into motion patterns or environmental conditions, aiding model understanding. Moreover, integrating audio could enable more fluid user interactions in real time, allowing for dynamic refinements during the restoration process. For example, models like Mini-Omni2 [221] illustrate the potential of combining audio, vision, and text within a unified framework, fostering more interactive and adaptive systems. Embodied Intelligence for low-level vision. Recently, Embodied Intelligence [222] has gained significant traction, promoting the integration of multisensory methods into AI systems. This paradigm emphasizes interaction with the physical world through various sensory inputs, e.g., vision, touch, audio, and environmental data. It provides a foundation for low-level vision to incorporate diverse multi-modal information for improved performance [223].
Leveraging multisensory inputs offers a transformative opportunity to tackle real-world challenges [224]. For instance, humidity and temperature sensors can optimize dehazing methods by providing real-time environmental context. Tactile sensors, on the other hand, can enhance fine-grained texture restoration by using touch-based feedback to inform surface detail reconstruction in medical imaging and material analysis. Besides, integrating motion sensors, such as accelerometers and gyroscopes, can improve deblurring, strengthening robustness in dynamic environments.
The integration of these technologies within Embodied Intelligence suggests a future where low-level vision models become more adaptable, closely mimicking human sensory perception and interaction with the physical world.
This survey offers an extensive examination of diffusion models applied in low-level vision tasks, a gap overlooked in previous surveys. Our review covers both advances and practical implementations. Firstly, we identify and discuss various generic diffusion modeling frameworks. We then propose a detailed categorization of diffusion models used in low-level vision from multiple angles. Lastly, we highlight limitations of existing diffusion models and propose future research directions. Advances in low-level vision tasks using these models are emerging in more complex and higher-dimensional areas, including 3D objects, locomotion, and 4D scenes, highlighting the need for continued research.
[1] Z. Wang, J. Chen, and S. C. Hoi, “Deep learning for image super-resolution: A survey,” IEEE Trans. Pattern Anal. Mach. Intell., vol. 43, no. 10, pp. 3365–3387, 2020.
[2] S. Biyouki and H. Hwangbo, “A comprehensive survey on deep neural image deblurring,” arXiv preprint arXiv:2310.04719, 2023.
[3] Y. Liu, G. Zhao, B. Gong, Y. Li, R. Raj, and N. Goel, “Improved techniques for learning to dehaze and beyond: A collective study,” arXiv preprint arXiv:1807.00202, 2018.
[4] B. Xia, Y. Zhang, S. Wang, and Y. Wang, “Diffir: Efficient diffusion model for image restoration,” arXiv arXiv:2303.09472, 2023.
[5] C. He, K. Li, G. Xu, Y. Zhang, R. Hu, Z. Guo, and X. Li, “Degradation-resistant unfolding network for heterogeneous image fusion,” in ICCV, pp. 12611–12621, 2023.
[6] R. Yang, P. Srivastava, and S. Mandt, “Diffusion probabilistic modeling for video generation,” CoRR, vol. abs/2203.09481, 2022.
[7] T. Wang, K. Zhang, and Z. Shao, “Lldiffusion: Learning degradation representations in diffusion models for low-light image enhancement,” arXiv preprint arXiv:2307.14659, 2023.
[8] R. Jing, F. Duan, F. Lu, M. Zhang, and W. Zhao, “Denoising diffusion probabilistic feature-based network for cloud removal in sentinel-2 imagery,” Remote Sens., vol. 15, no. 9, p. 2217, 2023.
[9] S. Gao, X. Liu, and B. Zeng, “Implicit diffusion models for continuous super-resolution,” in CVPR, pp. 10021–10030, 2023.
[10] M. Ren, M. Delbracio, and H. Talebi, “Multiscale structure guided diffusion for image deblurring,” in ICCV, pp. 10721–10733, 2023.
[11] A. Lugm, M. Danel, and F. Yu, “Repaint: Inpainting using denoising diffusion probabilistic models,” in CVPR, pp. 61–71, 2022.
[12] C. He, C. Fang, Y. Zhang, K. Li, L. Tang, and Z. Guo, “Reti-diff: Illumination degradation image restoration with retinex-based latent diffusion model,” arXiv preprint arXiv:2311.11638, 2023.
[13] J. Liu and R. Anirudh, “A model-based probabilistic diffusion framework for limited-angle ct reconstruction,” in ICCV, 2023.
[14] C. Saxena and D. Kourav, “Noises and image denoising techniques: a brief survey,” IJEATE, vol. 4, no. 3, pp. 878–885, 2014.
[15] C. He, X. Wang, and L. Deng, “Image threshold segmentation based on glle histogram,” in CPSCom, pp. 410–415, IEEE, 2019.
[16] C. He, K. Li, Y. Zhang, L. Tang, Y. Zhang, Z. Guo, and X. Li, “Camouflaged object detection with feature decomposition and edge reconstruction,” in CVPR, pp. 22046–22055, 2023.
[17] C. He, K. Li, Y. Zhang, G. Xu, and L. Tang, “Weakly-supervised concealed object segmentation with sam-based pseudo labeling and multi-scale feature grouping,” NeurIPS, 2024.
[18] F. Xiao, P. Zhang, C. He, R. Hu, and Y. Liu, “Concealed object segmentation with hierarchical coherence modeling,” in CAAI, pp. 16–27, Springer, 2023.
[19] L. Xu, H. Wu, and C. He, “Multi-modal sequence learning for alzheimer’s disease progression prediction with incomplete variable-length longitudinal data,” Med. Image Anal., 2022.
[20] J. Su, B. Xu, and H. Yin, “A survey of deep learning approaches to image restoration,” Neurocomputing, vol. 487, pp. 46–65, 2022.
[21] A. M. Ali, B. Benjdira, and A. Koubaa, “Vision transformers in image restoration: A survey,” Sensors, p. 2385, 2023.
[22] E. Agustsson and R. Timofte, “Ntire17 challenge on single image super-resolution: Dataset and study,” in CVPRW, 2017.
[23] S. Nah and T. Hyun Kim, “Deep multi-scale convolutional network for dynamic scene deblurring,” in CVPR, pp. 883–891, 2017.
[24] C. He, K. Li, G. Xu, J. Yan, and L. Tang, “Hqg-net: Unpaired medical image enhancement with high-quality guidance,” IEEE Trans. Neural Netw. Learn. Syst., 2023.
[25] J. Sohl-Dickstein and E. Weiss, “Deep unsupervised learning using nonequilibrium thermodynamics,” in ICML, 2015.
[26] Y. Song and S. Ermon, “Generative modeling by estimating gradients of the data distribution,” NeurIPS, 2019.
[27] J. Song, C. Meng, and S. Ermon, “Denoising diffusion implicit models,” arXiv preprint arXiv:2010.02502, 2020.
[28] J. Ho, A. Jain, and P. Abbeel, “Denoising diffusion probabilistic models,” NeurIPS, pp. 6840–6851, 2020.
[29] R. Rombach and A. Blattmann, “High-resolution image synthesis with latent diffusion models,” in CVPR, pp. 684–695, 2022.
[30] A. Q. Nichol and P. Dhariwal, “Improved denoising diffusion probabilistic models,” in ICML, pp. 8162–8171, PMLR, 2021.
[31] Y. Song and J. Sohl, “Score-based generative modeling through stochastic differential equations,” arXiv arXiv:2011.13456, 2020.
[32] D. Watson and W. Chan, “Learning fast samplers for diffusion models by differentiating through sample quality,” in ICLR, 2021.
[33] P. Dhariwal and A. Nichol, “Diffusion models beat gans on image synthesis,” NeurIPS, pp. 8780–8794, 2021.
[34] O. ¨Ozdenizci and R. Legenstein, “Restoring vision in adverse weather conditions with patch-based denoising diffusion models,” IEEE Trans. Pattern Anal. Mach. Intell., 2023.
[35] Z. Luo, F. K. Gustafsson, Z. Zhao, J. Sj¨olund, and T. B. Sch¨on, “Refusion: Enabling large-size realistic image restoration with latent-space diffusion models,” in CVPR, pp. 1680–1691, 2023.
[36] F.-A. Croitoru and V. Hondru, “Diffusion models in vision: A survey,” IEEE Trans. Pattern Anal. Mach. Intell., 2023.
[37] L. Yang, Z. Zhang, Y. Song, S. Hong, R. Xu, Y. Zhao, W. Zhang, B. Cui, and M.-H. Yang, “Diffusion models: A comprehensive survey of methods and applications,” ACM Comput. Surv., 2022.
[38] C. Zhang and C. Zhang, “Text-to-image diffusion model in generative ai: A survey,” arXiv preprint arXiv:2303.07909, 2023.
[39] Y. Huang, J. Huang, Y. Liu, and M. Yan, “Diffusion model-based image editing: A survey,” arXiv preprint arXiv:2402.17525, 2024.
[40] S. Parida, V. Srinivas, B. Jain, and R. Naik, “Survey on diverse image inpainting using diffusion models,” in PCEMS, 2023.
[41] B. B. Moser, A. S. Shanbhag, F. Raue, S. Frolov, S. Palacio, and A. Dengel, “Diffusion models, image super-resolution and everything: A survey,” arXiv preprint arXiv:2401.00736, 2024.
[42] X. Li and Y. Ren, “Diffusion models for image restoration and enhancement–a survey,” arXiv preprint arXiv:2308.09388, 2023.
[43] J. Wang and Z. Yue, “Exploiting diffusion prior for real-world image super-resolution,” arXiv preprint arXiv:2305.07015, 2023.
[44] C. Saharia and J. Ho, “Image super-resolution via iterative refinement,” IEEE Trans. Pattern Anal. Mach. Intell., pp. 713–726, 2022.
[45] F. Yu, J. Gu, Z. Li, J. Hu, X. Kong, X. Wang, et al., “Scaling up to excellence: Practicing model scaling for photo-realistic image restoration in the wild,” in CVPR, pp. 25669–25680, 2024.
[46] J. Ho, A. Jain, and P. Abbeel, “Denoising diffusion probabilistic models,” NeurIPS, pp. 6840–6851, 2020.
[47] P. Vincent, “A connection between score matching and denoising autoencoders,” Neural Comput., vol. 23, no. 7, pp. 1661–1674, 2011.
[48] Y. Song, S. Garg, J. Shi, and S. Ermon, “Sliced score matching: A scalable approach to score estimation,” in UAI, pp. 574–584, 2020.
[49] B. D. Anderson, “Reverse-time diffusion equation models,” Stochastic Processes Appl., vol. 12, no. 3, pp. 313–326, 1982.
[50] E. Weinan, “A proposal on machine learning via dynamical systems,” Commun. Math. Stat., vol. 1, no. 5, pp. 1–11, 2017.
[51] X. Wu, Z. Lai, J. Zhou, X. Hou, et al., “Light-aware contrastive learning for low-light image enhancement,” TOMM, 2024.
[52] Y. Wang, R. Wan, W. Yang, H. Li, L.-P. Chau, and A. Kot, “Low-light image enhancement with normalizing flow,” in AAAI, vol. 36, pp. 2604–2612, 2022.
[53] I. Goodfellow, J. Pouget-Abadie, and M. Mirza, “Generative adversarial nets,” NeurIPS, 2014.
[54] D. Zhou and Z. Yang, “Pyramid diffusion models for low-light image enhancement,” arXiv preprint arXiv:2305.10028, 2023.
[55] D. P. Kingma and M. Welling, “Auto-encoding variational bayes,” arXiv preprint arXiv:1312.6114, 2013.
[56] L. Deng, C. He, and G. Xu, “Pcgan: A noise robust conditional generative adversarial network for one shot learning,” IEEE Trans. Intell. Transp. Syst., pp. 25249–25258, 2022.
[57] K. Pandey and A. Mukherjee, “Vaes meet diffusion models: Efficient and high-fidelity generation,” in NeurIPSW, 2021.
[58] L. Dinh and Y. Bengio, “Nice: Non-linear independent components estimation,” arXiv preprint arXiv:1410.8516, 2014.
[59] L. Dinh, J. Sohl-Dickstein, and S. Bengio, “Density estimation using real nvp,” arXiv preprint arXiv:1605.08803, 2016.
[60] Q. Zhang and Y. Chen, “Diffusion normalizing flow,” Adv. neural inf. process. syst., vol. 34, pp. 16280–16291, 2021.
[61] X. Liu, C. Gong, and Q. Liu, “Flow straight and fast: Learning to generate and transfer data with rectified flow,” arXiv preprint arXiv:2209.03003, 2022.
[62] Y. Zhu, W. Zhao, A. Li, Y. Tang, et al., “Flowie: Efficient image enhancement via rectified flow,” in CVPR, pp. 13–22, 2024.
[63] Y. Lipman, R. T. Chen, H. Ben, et al., “Flow matching for generative modeling,” arXiv preprint arXiv:2210.02747, 2022.
[64] P. Esser, S. Kulal, and A. Blattmann, “Scaling rectified flow transformers for high-resolution image synthesis,” in ICML, 2024.
[65] S. Martin, A. Gagneux, P. Hagemann, and G. Steidl, “Pnp-flow: Plug-and-play image restoration with flow matching,” arXiv preprint arXiv:2410.02423, 2024.
[66] C. Han, K. Murao, T. Noguchi, and Y. Kawata, “Learning more with less: Conditional pggan-based data augmentation for brain metastases detection,” in CIKM, pp. 119–127, 2019.
[67] T. Karras, S. Laine, and M. Aittala, “Analyzing and improving the image quality of stylegan,” in CVPR, pp. 110–119, 2020.
[68] C. He, K. Li, Y. Zhang, Y. Zhang, Z. Guo, and X. Li, “Strategic preys make acute predators: Enhancing camouflaged object detectors by generating camouflaged objects,” in ICLR, 2024.
[69] H. Chung, J. Kim, and Mccann, “Diffusion posterior sampling for general noisy inverse problems,” arXiv arXiv:2209.14687, 2022.
[70] O. Russakovsky, J. Deng, and H. Su, “Imagenet large scale visual recognition challenge,” Int. J. Comput. Vision, pp. 211–252, 2015.
[71] G. Batzolis and J. Stanczuk, “Conditional image generation with score-based diffusion models,” arXiv arXiv:2111.13606, 2021.
[72] J. Choi and S. Kim, “Ilvr: Conditioning method for denoising diffusion probabilistic models,” arXiv arXiv:2108.02938, 2021.
[73] H. Chung, B. Sim, D. Ryu, and J. C. Ye, “Improving diffusion models for inverse problems using manifold constraints,” NeurIPS, pp. 83–96, 2022.
[74] A. Graikos, N. Malkin, N. Jojic, and D. Samaras, “Diffusion models as plug-and-play priors,” NeurIPS, pp. 14715–14728, 2022.
[75] B. Kawar, M. Elad, and S. Ermon, “Denoising diffusion restoration models,” NeurIPS, pp. 23593–23606, 2022.
[76] Y. Zhu, K. Zhang, and J. Liang, “Denoising diffusion models for plug-and-play image restoration,” in CVPR, pp. 1219–1229, 2023.
[77] Y. Wang and J. Yu, “Zero-shot image restoration using denoising diffusion model,” arXiv preprint arXiv:2212.00490, 2022.
[78] M. Delbracio and P. Milanfar, “Inversion by direct iteration: An alternative to denoising diffusion for image restoration,” arXiv preprint arXiv:2303.11435, 2023.
[79] G.-H. Liu, A. Vahdat, and D.-A. Huang, “I2sb: Image-to-image schrodinger bridge,” arXiv preprint arXiv:2302.05872, 2023.
[80] H. Chung, J. Kim, and J. C. Ye, “Direct diffusion bridge using data consistency for inverse problems,” arXiv preprint arXiv:2305.19809, 2023.
[81] K. Pandey, A. Mukherjee, P. Rai, and A. Kumar, “Diffusevae: Efficient, controllable and high-fidelity generation from low-dimensional latents,” arXiv preprint arXiv:2201.00308, 2022.
[82] Z. Fabian, B. Tinaz, and M. Soltanolkotabi, “Diracdiffusion: Denoising and incremental reconstruction with assured data-consistency,” arXiv preprint arXiv:2303.14353, 2023.
[83] H. Li, Y. Yang, and M. Chang, “Srdiff: Single image super-resolution with diffusion models,” Neurocom., pp. 47–59, 2022.
[84] J. Ho, C. Saha, and W. Chan, “Cascaded diffusion models for high fidelity image generation,” J. Mach. Learn. Res., pp. 249–281, 2022.
[85] Z. Yue, J. Wang, and C. C. Loy, “Resshift: Efficient diffusion model for image super-resolution by residual shifting,” NeurIPS, vol. 36, 2024.
[86] Y. Wang, W. Yang, X. Chen, Y. Wang, L. Guo, L.-P. Chau, et al., “Sinsr: diffusion-based image super-resolution in a single step,” in CVPR, pp. 25796–25805, 2024.
[87] Z. Luo, F. Gusta, et al., “Image restoration with mean-reverting stochastic differential equations,” arXiv:2301.11699, 2023.
[88] A. Niu, K. Zhang, and T. X. Pham, “Conditional diffusion probabilistic models for single image super-resolution,” in ICIP, 2023.
[89] X. Lin, J. He, and Z. Chen, “Diffbir: Towards blind image restoration with generative diffusion prior,” arXiv:2308.15070, 2023.
[90] H. Sun, W. Li, J. Liu, H. Chen, R. Pei, X. Zou, Y. Yan, and Y. Yang, “Coser: Bridging image and language for cognitive super-resolution,” in CVPR, pp. 25868–25878, 2024.
[91] A. Radford, J. W. Kim, C. Hallacy, A. Ramesh, G. Goh, S. Agarwal, et al., “Learning transferable visual models from natural language supervision,” in ICML, pp. 8748–8763, 2021.
[92] E. Gebre, K. Saxena, T. Tran, et al., “A diffusion-based image inpainting pipeline,” arXiv preprint arXiv:2403.16016, 2024.
[93] C. Zhang, W. Yang, et al., “Multi-modality guided image inpainting based on diffusion models,” IEEE Trans. Multimedia, 2024.
[94] J. Whang, M. Delbracio, H. Talebi, and C. Saharia, “Deblurring via stochastic refinement,” in CVPR, pp. 293–303, 2022.
[95] W. Li, X. Yu, and K. Zhou, “Sdm: Spatial diffusion model for large hole image inpainting,” arXiv preprint arXiv:2212.02963, 2022.
[96] C. Saharia, W. Chan, H. Chang, and C. Lee, “Palette: Image-to-image diffusion models,” in SIGGRAPH, pp. 1–10, 2022.
[97] X. Ju, X. Liu, X. Wang, et al., “A plug-and-play image inpainting model with decomposed diffusion,” arXiv:2403.06976, 2024.
[98] A. Grechka, G. Couairon, et al., “Gradient-guided inpainting with diffusion models,” Comput. Vis. Image Underst., 2024.
[99] Z. Chen, Y. Zhang, and D. Liu, “Hierarchical integration diffusion model for realistic image deblurring,” NeurIPS, 2023.
[100] C. Laroche, A. Almansa, and E. Coupete, “Fast diffusion em: a diffusion model for blind inverse problems with application to deconvolution,” in WACV, pp. 5271–5281, 2024.
[101] R. Spetlik, D. Rozumnyi, and J. Matas, “Single-image deblurring, trajectory and shape recovery of fast moving objects with denoising diffusion models,” in WACV, pp. 6857–6866, 2024.
[102] P. Wang, J. He, Q. Yan, et al., “Diffevent: Event residual diffusion for image deblurring,” in ICASSP, pp. 3450–3454, IEEE, 2024.
[103] Y. Jin, X. Li, J. Wang, Y. Zhang, and M. Zhang, “Raindrop clarity: A dual-focused dataset for day and night raindrop removal,” in European Conference on Computer Vision, pp. 1–17, Springer, 2024.
[104] J. Wang, S. Wu, Z. Yuan, et al., “Frequency compensated diffusion model for real-scene dehazing,” Neural Networks, p. 106281, 2024.
[105] Y. Zhu and L. Wang, “Diffusion model based low-light enhance- ment for space satellite,” arXiv preprint arXiv:2306.14227, 2023.
[106] G. Wu and C. Jin, “Difflie: Low-light image enhancment based on deep diffusion model,” in ISCTIS, pp. 522–526, IEEE, 2023.
[107] H. Jiang, A. Luo, and H. Fan, “Low-light image enhancement with wavelet-based diffusion models,” ACM TOG, pp. 1–14, 2023.
[108] Y. Wang, Y. Yu, W. Yang, and L. Guo, “Learning to expose for low-light image enhancement,” in ICCV, pp. 12438–12448, 2023.
[109] J. Hou, Z. Zhu, and J. Hou, “Global structure-aware diffusion process for low-light image enhancement,” NeurIPS, 2024.
[110] X. Yi, H. Xu, and J. Ma, “Diff-retinex: Rethinking low-light image enhancement with a generative diffusion model,” in ICCV, 2023.
[111] Y. Yin and D. Xu, “Cle diffusion: Controllable light enhancement diffusion model,” in ACM MM, pp. 145–156, 2023.
[112] A. Kirillov, E. Mintun, N. Ravi, H. Mao, C. Rolland, and L. Gustafson, “Segment anything,” in ICCV, pp. 4015–4026, 2023.
[113] M. Xue, J. He, and Y. He, “Low-light image enhancement via clip-fourier guided wavelet diffusion,” arXiv:2401.03788, 2024.
[114] J. Yue, L. Fang, S. Xia, Y. Deng, and J. Ma, “Dif-fusion: Towards high color fidelity in infrared and visible image fusion with diffusion models,” IEEE Trans. Image Process., 2023.
[115] H. Guo, M. Chen, K. Li, H. Su, and P. Lv, “Glad: A global- attention-based diffusion model for infrared and visible image fusion,” in ICIC, pp. 345–356, Springer, 2024.
[116] M. Li, R. Pei, T. Zheng, et al., “Multi-focus image fusion using denoising diffusion models,” Expert Syst. Appl., vol. 238, 2024.
[117] Z. Zhao, H. Bai, Y. Zhu, and J. Zhang, “Denoising diffusion model for multi-modality image fusion,” in ICCV, pp. 8082–8093, 2023.
[118] X. Yi, L. Tang, H. Zhang, H. Xu, and J. Ma, “Diff-if: Multi- modality image fusion via diffusion model with fusion knowledge prior,” Inf. Fusion, vol. 110, p. 102450, 2024.
[119] Z. Cao, S. Cao, and X. Wu, “Denoising diffusion model for remote sensing image fusion,” arXiv preprint arXiv:2304.04774, 2023.
[120] B. Yang, Z. Jiang, D. Pan, H. Yu, G. Gui, and W. Gui, “Lfdt-fusion: A latent feature-guided diffusion transformer model for general image fusion,” Inf. Fusion, vol. 113, p. 102639, 2025.
[121] S. Kumari and P. Singh, “Data efficient deep learning for medical image analysis: A survey,” arXiv preprint arXiv:2310.06557, 2023.
[122] H. Chung and J. C. Ye, “Score-based diffusion models for accel- erated mri,” Med. Image Anal., vol. 80, p. 102479, 2022.
[123] B. Ozturkler, C. Liu, B. Eckart, M. Mardani, J. Song, and J. Kautz, “Smrd: Sure-based robust mri reconstruction with diffusion models,” in MICCAI, pp. 199–209, Springer, 2023.
[124] A. G¨ung¨or, S. U. Dar, S¸. ¨Ozt¨urk, Y. Korkmaz, H. A. Bedel, et al., “Adaptive diffusion priors for accelerated mri reconstruction,” Med. Image Anal., vol. 88, p. 102872, 2023.
[125] C. Peng, P. Guo, S. K. Zhou, et al., “Towards performant and reliable undersampled mr reconstruction via diffusion model sampling,” in MICCAI, pp. 623–633, Springer, 2022.
[126] Y. Korkmaz, T. Cukur, and V. M. Patel, “Self-supervised mri reconstruction with unrolled diffusion models,” in MICCAI, pp. 491–501, Springer, 2023.
[127] A. C. Kak and M. Slaney, Principles of computerized tomographic imaging. SIAM, 2001.
[128] G. Xu, C. He, H. Wang, H. Zhu, and W. Ding, “Dm-fusion: Deep model-driven network for heterogeneous image fusion,” IEEE Trans. Neural Netw. Learn. Syst., 2023.
[129] Y. Peng, M. Li, and J. Grandi, “Top-level design and simulated performance of first portable ct-mr scanner,” IEEE Access, 2022.
[130] M. Ju, C. He, and J. Liu, “Ivf-net: An infrared and visible data fusion deep network for traffic object enhancement in intelligent transportation systems,” IEEE Trans. Intell. Transp. Syst., 2022.
[131] Q. Lyu and G. Wang, “Conversion between ct and mri images using diffusion models,” arXiv preprint arXiv:2209.12104, 2022.
[132] X. Meng, Y. Gu, and Y. Pan, “A novel unified conditional score- based generative framework for multi-modal medical image completion,” arXiv preprint arXiv:2207.03430, 2022.
[133] Y. Li, H. Shao, and X. Liang, “Zero-shot medical image translation via frequency-guided diffusion models,” arXiv:2304.02742, 2023.
[134] K. Gong and K. Johnson, “Pet image denoising based on denois- ing diffusion model,” Eur. J. Nucl. Med. Imaging, pp. 1–11, 2023.
[135] D. Hu, Y. K. Tao, and I. Oguz, “Unsupervised denoising of retinal oct with diffusion model,” in Medical Imaging, SPIE, 2022.
[136] C. Wu, D. Wang, Y. Bai, and H. Mao, “Hyperspectral image super- resolution via conditional diffusion models,” in ICCV, 2023.
[137] S. Shi, L. Zhang, and J. Chen, “Hyperspectral and multispectral image fusion using the conditional denoising diffusion probabilistic model,” arXiv preprint arXiv:2307.03423, 2023.
[138] J. Liu, Z. Yuan, and Z. Pan, “Diffusion model with detail comple- ment for remote sensing super-resolution,” Remote Sens., 2022.
[139] M. V. Perera and N. G. Nair, “Sar despeckling using a denoising diffusion model,” IEEE Geosci. Remote. Sens. Lett., 2023.
[140] S. Xiao, L. Huang, and S. Zhang, “Unsupervised sar despeckling based on diffusion model,” in IGASS, pp. 810–813, IEEE, 2023.
[141] X. Zhao and K. Jia, “Cloud removal in remote sensing using sequential-based diffusion models,” Remote Sens., p. 2861, 2023.
[142] N. B. Badhe, V. A. Bharadi, N. Giri, and S. Tolye, “Implementation of diffusion model for cloud removal in satellite imagery,”
[143] M. Seo and Y. Oh, “Improved flood insights: Diffusion-based sar to eo image translation,” arXiv preprint arXiv:2307.07123, 2023.
[144] A. Sebaq and M. ElHelw, “Remote sensing image generation from text using diffusion model,” arXiv preprint arXiv:2309.02455, 2023.
[145] C. Saharia and W. Chan, “Photorealistic text-to-image diffusion models with deep language understanding,” NeurIPS, 2022.
[146] Y. Huang and S. Xiong, “Remote sensing dehazing using region- based diffusion models,” IEEE Geosci. Remote. Sens. Lett., 2023.
[147] R. Coifman and D. Donoho, Translation-invariant denoising. 1995.
[148] L. Zhang, X. Luo, and S. Li, “R2h-ccd: Hyperspectral imagery generation from rgb images based on conditional cascade diffusion probabilistic models,” in IGASS, pp. 7392–7395, 2023.
[149] K. Deng and Z. Jiang, “A noise-model-free hyperspectral image denoising method based on diffusion model,” in IGASS, 2023.
[150] Y. Miao, L. Zhang, L. Zhang, and D. Tao, “Dds2m: Self- supervised denoising diffusion spatio-spectral model for hyperspectral image restoration,” in ICCV, pp. 12086–12096, 2023.
[151] A. Tuel and T. Kerdreux, “Diffusion models for interferometric satellite aperture radar,” arXiv preprint arXiv:2308.16847, 2023.
[152] X. Rui, X. Cao, L. Pang, Z. Zhu, Z. Yue, and D. Meng, “Un- supervised hyperspectral pansharpening via low-rank diffusion model,” Inf. Fusion, vol. 107, p. 102325, 2024.
[153] J.-B. Huang and A. Singh, “Single image super-resolution from transformed self-exemplars,” in CVPR, pp. 5197–5206, 2015.
[154] P. Wei, Z. Xie, and H. Lu, “Component divide-and-conquer for real-world image super-resolution,” in ECCV, pp. 101–117, 2020.
[155] Z. Shen, W. Wang, X. Lu, J. Shen, H. Ling, T. Xu, and L. Shao, “Human-aware motion deblurring,” in ICCV, pp. 72–81, 2019.
[156] J. Rim and H. Lee, “Real-world blur dataset for learning and benchmark deblurring algorithms,” in ECCV, pp. 184–201, 2020.
[157] B. Li, W. Ren, and D. Fu, “Benchmarking single-image dehazing and beyond,” IEEE Trans. Image Process., pp. 492–505, 2018.
[158] C. Ancuti and C. Ancuti, “An image dehazing benchmark with non-homogeneous hazy images,” in CVPRW, pp. 444–445, 2020.
[159] Y. Liu and L. Zhu, “From synthetic to real: Image dehazing collaborating with real data,” in ACM MM, pp. 50–58, 2021.
[160] W. Yang and R. T. Tan, “Deep joint rain detection and removal from a single image,” in CVPR, pp. 1357–1366, 2017.
[161] R. Qian and R. Tan, “Attentive generative network for raindrop removal from a single image,” in CVPR, pp. 482–491, 2018.
[162] Y. Ba, H. Zhang, and E. Yang, “Not just streaks: Towards ground truth for single image deraining,” in ECCV, pp. 723–740, 2022.
[163] C. Wei, W. Wang, and W. Yang, “Deep retinex decomposition for low-light enhancement,” BMVC, 2018.
[164] W. Yang and W. Wang, “Sparse gradient regularized deep retinex network,” IEEE Trans. Image Process., vol. 30, pp. 72–86, 2021.
[165] H. Xu, J. Ma, J. Jiang, X. Guo, and H. Ling, “U2fusion: A unified unsupervised image fusion network,” IEEE Trans. Pattern Anal. Mach. Intell., 2020.
[166] L. Tang, J. Yuan, H. Zhang, X. Jiang, and J. Ma, “Piafusion: A progressive infrared and visible image fusion network based on illumination aware,” Inf. Fusion, vol. 83, pp. 79–92, 2022.
[167] J. Liu, X. Fan, Z. Huang, G. Wu, et al., “Target-aware dual adversarial learning and a multi-scenario benchmark to fuse infrared and visible for object detection,” in CVPR, pp. 5802–5811, 2022.
[168] J. Zbontar, F. Knoll, A. Sriram, T. Murrell, Z. Huang, M. J. Muck- ley, A. Defazio, et al., “fastmri: An open dataset and benchmarks for accelerated mri,” arXiv preprint arXiv:1811.08839, 2018.
[169] A. D. Desai, A. M. Schmidt, E. B. Rubin, et al., “Skm-tea: A dataset for accelerated mri reconstruction with dense image labels for quantitative clinical evaluation,” in NeurIPS, 2021.
[170] R. Zhao, B. Yaman, Y. Zhang, R. Stewart, et al., “fastmri+, clinical pathology annotations for knee and brain fully sampled magnetic resonance imaging data,” Sci. Data, p. 152, 2022.
[171] A. Blattmann, R. Rombach, and H. Ling, “High-resolution video synthesis with latent diffusion models,” in CVPR, 2023.
[172] J. Ho, T. Salimans, A. A. Gritsenko, W. Chan, M. Norouzi, and D. J. Fleet, “Video diffusion models,” in NeurIPS, 2022.
[173] J. Ho, W. Chan, and C. Saharia, “High definition video generation with diffusion models,” arXiv preprint arXiv:2210.02303, 2022.
[174] Y. Wang, X. Chen, and X. Ma, “High-quality video generation with cascaded latent diffusion models,” arXiv:2309.15103, 2023.
[175] S. Ge, S. Nah, and G. Liu, “Preserve your own correlation: A noise prior for video diffusion models,” in ICCV, pp. 930–941, 2023.
[176] T. H¨oppe, A. Mehrjou, and S. Bauer, “Diffusion models for video prediction and infilling,” Trans. Mach. Learn. Res., 2022.
[177] V. Voleti and C. Pal, “Masked conditional video diffusion for prediction, generation, and interpolation,” in NeurIPS, 2022.
[178] D. Danier and F. Zhang, “Ldmvfi: Video frame interpolation with latent diffusion models,” in AAAI, pp. 1472–1480, 2024.
[179] X. Yuan, J. Baek, K. Xu, et al., “Efficient temporal adaptation for text-to-video super-resolution,” in WACV, pp. 489–496, 2024.
[180] Z. Chen, F. Long, Z. Qiu, et al., “Learning spatial adaptation and temporal coherence in diffusion models,” arXiv:2403.17000, 2024.
[181] Y. Yang, H. Wu, et al., “Diffusion test-time adaptation for video adverse weather removal,” arXiv preprint arXiv:2403.07684, 2024.
[182] Z. Liu, P. Luo, X. Wang, and X. Tang, “Deep learning face attributes in the wild,” in ICCV, pp. 3730–3738, 2015.
[183] L. Tang and C. He, “Consistency regularization for generalizable source-free domain adaptation,” in ICCV, pp. 23–33, 2023.
[184] L. Tang, Z. Tian, K. Li, C. He, H. Zhou, H. Zhao, X. Li, and J. Jia, “Mind the interference: Retaining pre-trained knowledge in parameter efficient continual learning of vision-language models,” in ECCV, pp. 346–365, 2024.
[185] T. Karras and T. Aila, “Progressive growing of gans for improved quality, stability, and variation,” arXiv:1710.10196, 2017.
[186] G. Qu, D. Zhang, and P. Yan, “Information measure for perfor- mance of image fusion,” Electron. lett., vol. 38, no. 7, p. 1, 2002.
[187] C. S. Xydeas, V. Petrovic, et al., “Objective image fusion performance measure,” Electron. lett., vol. 36, no. 4, pp. 308–309, 2000.
[188] R. Zhang and P. Isola, “The unreasonable effectiveness of deep features as a perceptual metric,” in CVPR, pp. 586–595, 2018.
[189] M. Heusel, H. Ram, and Unter, “Gans trained by a two time-scale update rule converge to a local nash equilibrium,” NeurIPS, 2017.
[190] A. Niu, K. Zhang, and T. X. Pham, “Conditional diffusion models for single image super-resolution,” in ICIP, pp. 615–619, 2023.
[191] S. Shang, Z. Shan, and G. Liu, “Combining cnn and diffusion model for image super-resolution,” in AAAI, pp. 8975–8983, 2024.
[192] G. Zhang, J. Ji, Y. Zhang, M. Yu, T. Jaakkola, and S. Chang, “Towards coherent image inpainting using denoising diffusion implicit models,” arXiv preprint arXiv:2304.03322, 2023.
[193] A. Liu, M. Niepert, and G. V. den Broeck, “Image inpainting via tractable steering of diffusion models,” 2023.
[194] F. Xiao, S. Hu, Y. Shen, C. Fang, J. Huang, C. He, L. Tang, Z. Yang, and X. Li, “A survey of camouflaged object detection and beyond,” CAAI AIR, 2024.
[195] C. Meng, R. Rombach, and R. Gao, “On distillation of guided diffusion models,” in CVPR, pp. 14297–14306, 2023.
[196] H. Liu, J. Xing, and M. Xie, “Improved diffusion-based image colorization via piggybacked models,” arXiv:2304.11105, 2023.
[197] S. Abu-Hussein, T. Tirer, and R. Giryes, “Adir: Adaptive diffusion for image reconstruction,” arXiv preprint arXiv:2212.03221, 2022.
[198] Z. Shi, H. Zheng, C. Xu, C. Dong, et al., “Resfusion: Denoising diffusion probabilistic models for image restoration based on prior residual noise,” arXiv preprint arXiv:2311.14900, 2023.
[199] H. Chung, B. Sim, and J. C. Ye, “Come-closer-diffuse-faster: Accelerating conditional diffusion models for inverse problems through stochastic contraction,” in CVPR, pp. 12413–12422, 2022.
[200] K. Zhao and L. Y. Hung, “Partdiff: Image super-resolution with partial diffusion models,” arXiv preprint arXiv:2307.11926, 2023.
[201] D. Zhang, S. Li, and C. Chen, “Layer pruning and normalized distillation for diffusion models,” arXiv:2404.11098, 2024.
[202] T. Castells, H. Song, T. Piao, and S. Choi, “Edgefusion: On-device text-to-image generation,” arXiv preprint arXiv:2404.11925, 2024.
[203] Y. Jin, W. Ye, W. Yang, Y. Yuan, and R. T. Tan, “Des3: Adaptive attention-driven self and soft shadow removal using vit similarity,” in Proceedings of the AAAI Conference on Artificial Intelligence, vol. 38, pp. 2634–2642, 2024.
[204] L. Tang, K. Li, C. He, Y. Zhang, and X. Li, “Source-free domain adaptive fundus image segmentation with class-balanced mean teacher,” in MICCAI, pp. 684–694, 2023.
[205] R. Liu, J. Gao, and J. Zhang, “Investigating bi-level optimization for learning and vision from a unified perspective: A survey,” IEEE Trans. Pattern Anal. Mach. Intell., pp. 10045–10067, 2021.
[206] S. Sun, W. Ren, T. Wang, and X. Cao, “Rethinking image restora- tion for object detection,” NeurIPS, pp. 4461–4474, 2022.
[207] C. Fang, C. He, F. Xiao, Y. Zhang, L. Tang, Y. Zhang, K. Li, and X. Li, “Real-world image dehazing with coherence-based label generator and cooperative unfolding network,” NeurIPS, 2024.
[208] J. Wang, S. Song, J. Su, and S. K. Zhou, “Distortion-disentangled contrastive learning,” in WACV, pp. 75–85, 2024.
[209] Z. Yue and C. C. Loy, “Difface: Blind face restoration with diffused error contraction,” arXiv preprint arXiv:2212.06512, 2022.
[210] Z. Wang and Z. Zhang, “Dr2: Diffusion-based robust degradation remover for blind face restoration,” in CVPR, pp. 64–73, 2023.
[211] L. V. Wang and S. Hu, “Photoacoustic tomography: in vivo imaging from organelles to organs,” science, vol. 335, no. 6075, pp. 1458–1462, 2012.
[212] X. Zeng, A. Kahng, L. Xue, J. Mahamid, Y.-W. Chang, and M. Xu, “High-throughput cryo-et structural pattern mining by unsupervised deep iterative subtomogram clustering,” PNAS, 2023.
[213] Z. Liang and C. Li, “Iterative prompt learning for unsupervised backlit image enhancement,” in ICCV, pp. 8094–8103, 2023.
[214] C. He, R. Zhang, F. Xiao, C. Fang, L. Tang, Y. Zhang, L. Kong, D.-P. Fan, K. Li, and S. Farsiu, “Run: Reversible unfolding network for concealed object segmentation,” arXiv preprint arXiv:2501.18783, 2025.
[215] Z. Luo, F. K. Gustafsson, Z. Zhao, et al., “Controlling vision-language models for universal image restoration,” in ICLR, 2024.
[216] Z. Li, Y. Lei, C. Ma, et al., “Prompt-in-prompt learning for universal image restoration,” arXiv preprint arXiv:2312.05038, 2023.
[217] D. Zheng, X. Wu, et al., “Selective hourglass mapping for universal image restoration based on diffusion model,” in CVPR, 2024.
[218] J. Liu, Q. Wang, H. Fan, Y. Wang, Y. Tang, and L. Qu, “Residual denoising diffusion models,” in CVPR, 2024.
[219] Y. Jiang, Z. Zhang, T. Xue, and J. Gu, “Autodir: Automatic all- in-one image restoration with latent diffusion,” arXiv preprint arXiv:2310.10123, 2023.
[220] Y. Ai, H. Huang, X. Zhou, et al., “Multimodal prompt perceiver: Empower adaptiveness generalizability and fidelity for all-in-one image restoration,” in CVPR, pp. 25432–25444, 2024.
[221] Z. Xie, C. Wu, et al., “Mini-omni2: Towards open-source gpt-4o model with vision, speech and duplex,” arXiv preprint arXiv:2410.11190, 2024.
[222] J. Duan, S. Yu, H. L. Tan, H. Zhu, and C. Tan, “A survey of embodied ai: From simulators to research tasks,” IEEE Trans. Emerging Top. Comput. Intell., vol. 6, no. 2, pp. 230–244, 2022.
[223] T. Wang, X. Mao, C. Zhu, R. Xu, R. Lyu, et al., “Embodiedscan: A holistic multi-modal 3d perception suite towards embodied ai,” in CVPR, pp. 19757–19767, 2024.
[224] A. Gupta, S. Savarese, S. Ganguli, and L. Fei-Fei, “Embodied intelligence via learning and evolution,” Nat. Commun., vol. 12, no. 1, p. 5721, 2021.
Chunming He received the B.S. degree in communication engineering from Nanjing University of Posts and Telecommunications, Nanjing, China, in 2021, and the M.E. degree in computer science from Tsinghua University, Beijing, China, in 2024. He is currently a Ph.D. student with the Department of Biomedical Engineering, Duke University, Durham, USA. His research interests include computer vision, image processing, and biomedical image analysis.
Yuqi Shen received the B.S. degree in aircraft control and information engineering with the School of Astronautics, Beihang University, Beijing, China in 2024. Now, he is pursuing his M.S. degree in artificial intelligence, Tsinghua Shenzhen International Graduate School, Tsinghua University. His research interests include machine learning and computer vision.

Chengyu Fang received the B.S. degree in software engineering from Southwest University, Chongqing, China in 2024. Now, he is pursuing his M.S. degree in artificial intelligence, Tsinghua Shenzhen International Graduate School, Tsinghua University. His research interests include computer vision and image processing.

Fengyang Xiao received the B.S. degree in information and computational science from Nanjing University of Posts and Telecommunicationa, Jiangsu Nanjing, China in 2021. Now, she is pursuing her M.S. degree in mathematics, School of Mathematics (Zhuhai), Sun Yat-sen University. She will be a Ph.D. student with the Department of Biomedical Engineering, Duke University, Durham, USA. Her research interests include differential equations and numerical solutions, image processing and computer vision.
Longxiang Tang is currently a master’s student at Tsinghua Shenzhen International Graduate School, Tsinghua University. Before it, he received his B.S. degree in software engineering from University of Electronic Science and Technology of China. His research interests include multi-modal large language model and representation learning.

Yulun Zhang received a B.E. degree from the School of Electronic Engineering, Xidian University, China, in 2013, an M.E. degree from the Department of Automation, Tsinghua University, China, in 2017, and a Ph.D. degree from the Department of ECE, Northeastern University, USA, in 2021. He is an associate professor at Shanghai Jiao Tong University, Shanghai, China. He was a postdoctoral researcher at Computer Vision Lab, ETH Z¨urich, Switzerland. His research interests include image/video restoration and synthesis, biomedical image analysis, model compression, multi-modal computing, large language model. He is/was an Area Chair for CVPR, ICCV, ECCV, NeurIPS, ICML, ICLR, IJCAI, ACM MM, and a Senior Program Committee (SPC) member for IJCAI and AAAI.
Wangmeng Zuo (M’09, SM’14) received the Ph.D. degree in computer application technology from the Harbin Institute of Technology, China, in 2007. He is currently a Professor with the School of Computer Science and Technology, Harbin Institute of Technology. He has published over 90 papers in top-tier academic journals and conferences. His current research interests include image enhancement and restoration, image generation and editing, visual tracking, object detection, and image classification. He has served as a Tutorial Organizer in ECCV 2016, an Associate Editor of the IET Biometrics, The Visual Computers, Journal of Electronic Imaging, and the Guest Editor of Neurocomputing, Pattern Recognition, IEEE Transactions on Circuits and Systems for Video Technology, and IEEE Transactions on Neural Networks and Learning Systems.
Zhenhua Guo received the Ph.D. degree in computer science from The Hong Kong Polytechnic University, Hong Kong, in 2010. He was a Visiting Scholar of electrical and computer engineering (ECE) with Carnegie Mellon University, Pittsburgh, PA, USA, from 2018 to 2019. Since September 2022, he has been working with the Tianyijiaotong Technology Ltd., China. His research interests include computer vision, deep learning and object detection.
Xiu Li received the Ph.D. degree in computer integrated manufacturing from Nanjing University of Aeronautics and Astronautics in 2000. She was a Postdoctoral Fellow with the Department of Automation, Tsinghua University, Beijing, China. From 2003 to 2010, she was an Associate Professor with the Department of Automation, Tsinghua University, Beijing, China. Since 2016, She has been a Full Professor at Shenzhen International Graduate School, Tsinghua University. Her research interests include computer vision and pattern recognition.